Предмет: Алгебра,
автор: alina564715
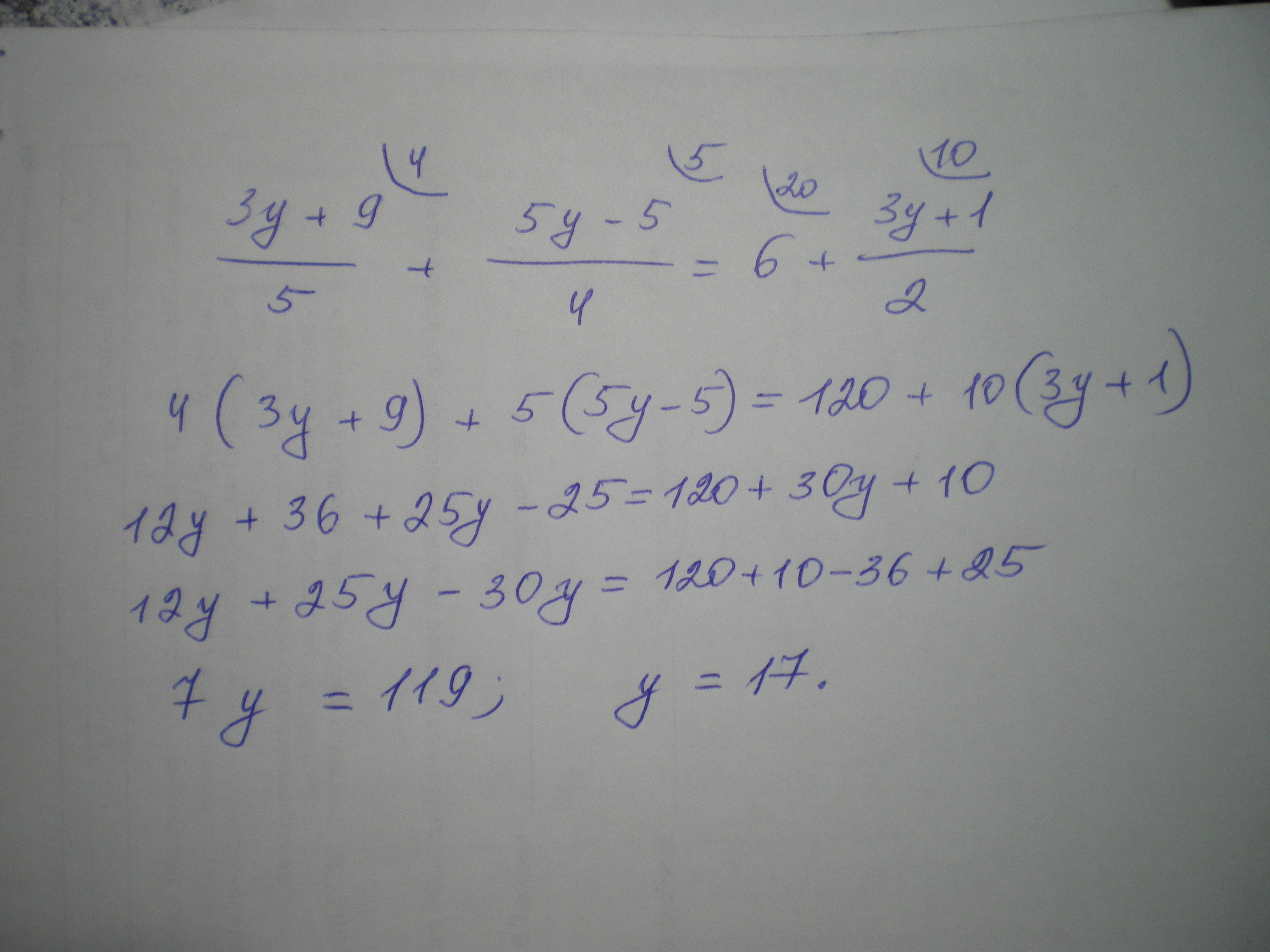
Помогите пожалуйста,решить этот пример,кто сможет на листочке напиши и отправьте как надо правильно записывать этот пример и решать,заранее большое спасибо)Даю 44 балла
Приложения:
Ответы
Автор ответа:
2
:::::::::::::::::решение:::::::::::
Приложения:
Автор ответа:
1
вооот
ну блин какие 20 символов
Приложения:
Похожие вопросы
Предмет: Русский язык,
автор: miko20101106
Предмет: География,
автор: Аноним
Предмет: Другие предметы,
автор: veramatrizaeva
Предмет: Математика,
автор: ainazik2
Предмет: Математика,
автор: Аноним