Предмет: Математика,
автор: artem738819009
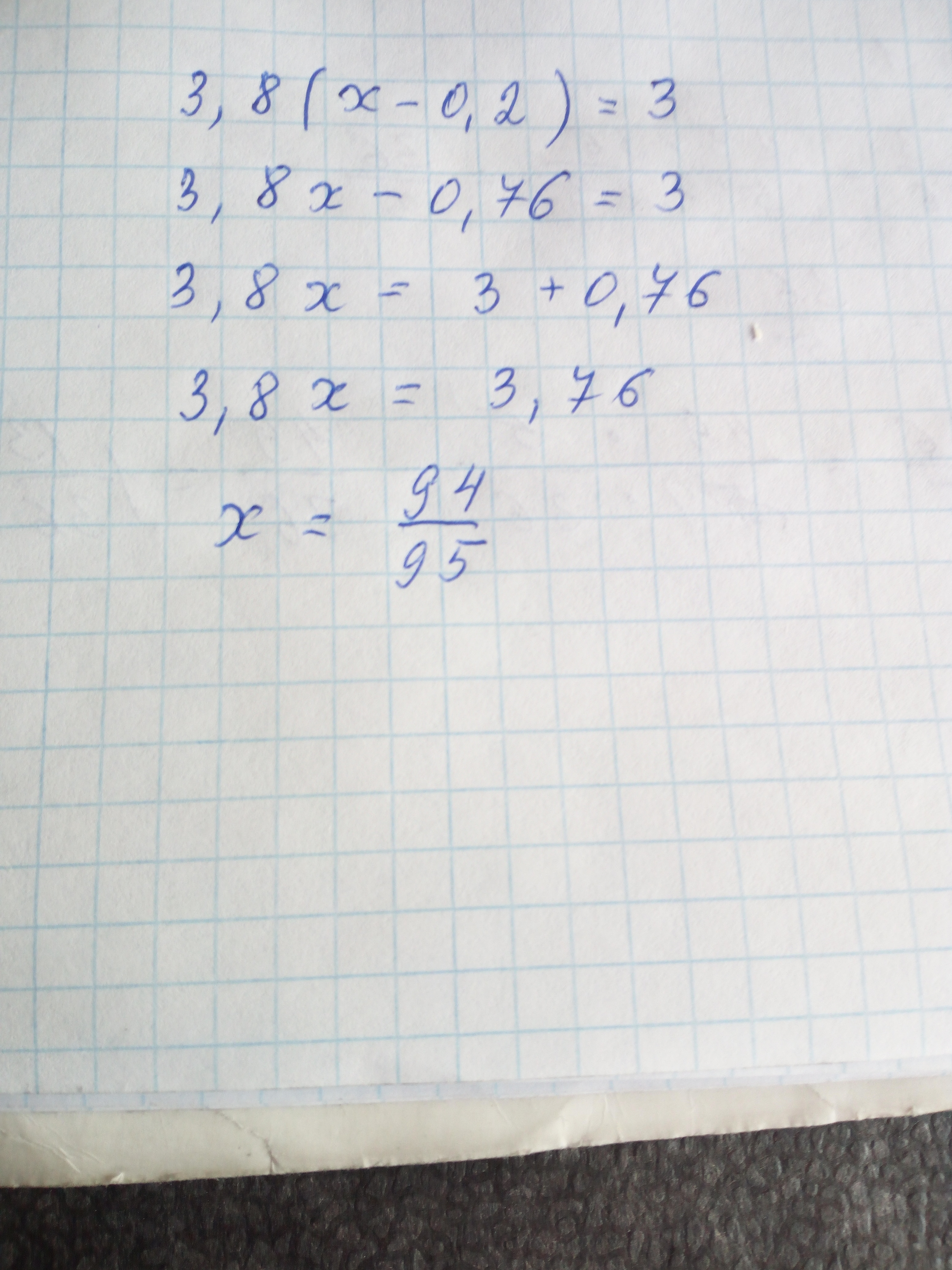
Решите уравнения 3,8×(x-0,2)=3
Ответы
Автор ответа:
0
ну, вроде все так
,,,,,
,,,,,
Приложения:
Автор ответа:
0
"!!!!!!!!!!!!!!!!!!!!!!!!!!!!!!!!!!!!!!!!!!!!
Приложения:
Похожие вопросы
Предмет: Английский язык,
автор: salimdusabaev
Предмет: Математика,
автор: Аноним
Предмет: Математика,
автор: kseniasychyowa
Предмет: География,
автор: PONTPONTOV22
Предмет: Литература,
автор: arman4ik2