Предмет: Математика,
автор: aziumaralieva
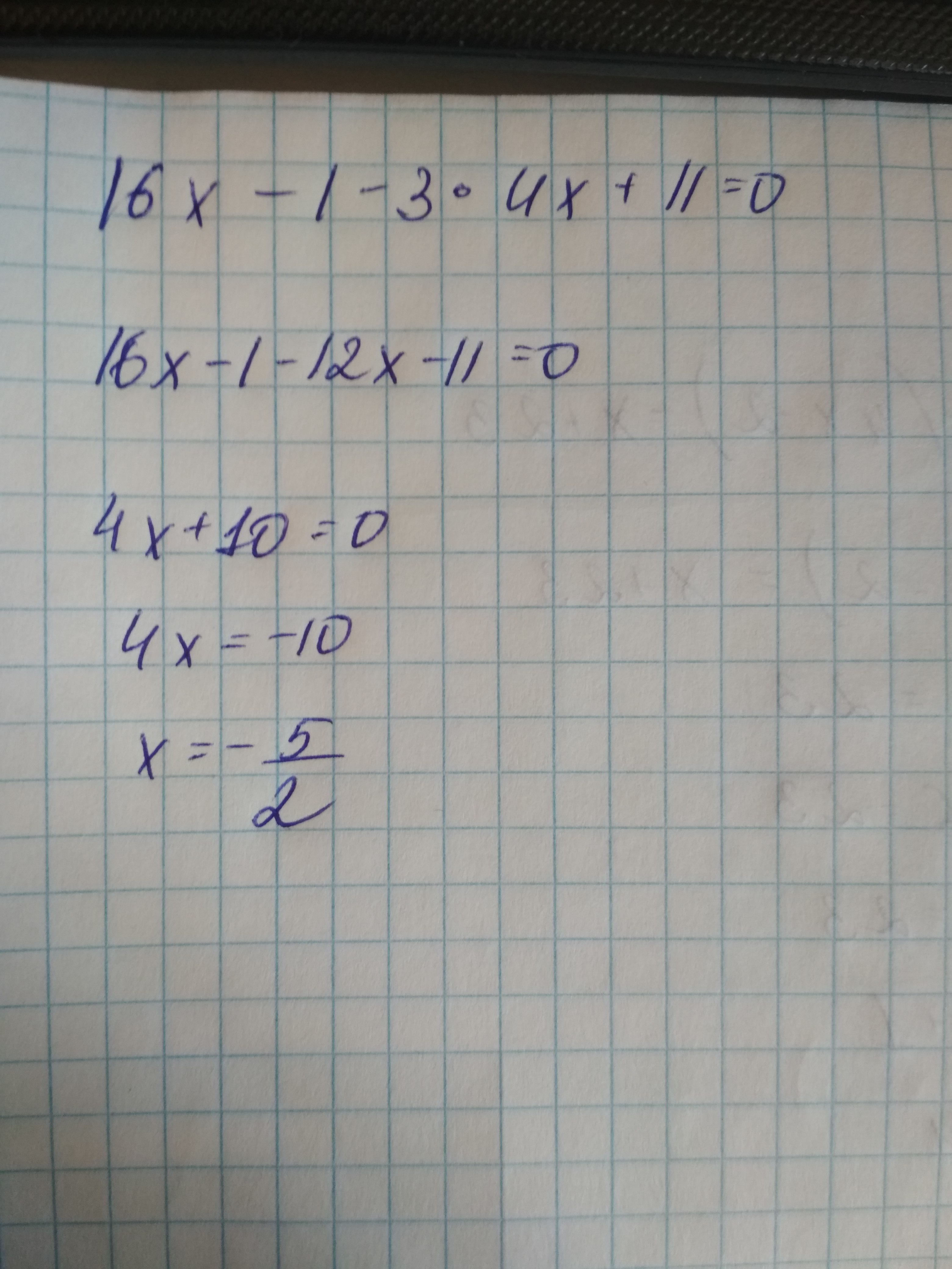
16x-1-3*4x+11=0 помогите решить задачу плиииз
Ответы
Автор ответа:
1
надеюсь помогла:))))
Приложения:
Автор ответа:
1
16х - 1 - 3 * 4х + 11 = 0
16х - 12х = 1 - 11
4х = - 10
х = - 10 : 4
х = - 2,5
--------------------------
Проверка:
16 * (-2,5) - 1 - 3 * 4 * (-2,5) + 11 = 0
- 40 - 1 + 30 + 11 = 0
(30 + 11) - (40 + 1) = 0
41 - 41 = 0
Похожие вопросы
Предмет: Математика,
автор: Carbonarina
Предмет: Математика,
автор: figbaga
Предмет: Биология,
автор: tatasolom9
Предмет: Геометрия,
автор: СоняЖесткова
Предмет: Математика,
автор: Karameliki