Предмет: Геометрия,
автор: KirillGumanitarii
Задание 11. Великие умы математики, кто сможет дать решение с кратким объяснением? Пожалуйста
Приложения:
Ответы
Автор ответа:
1
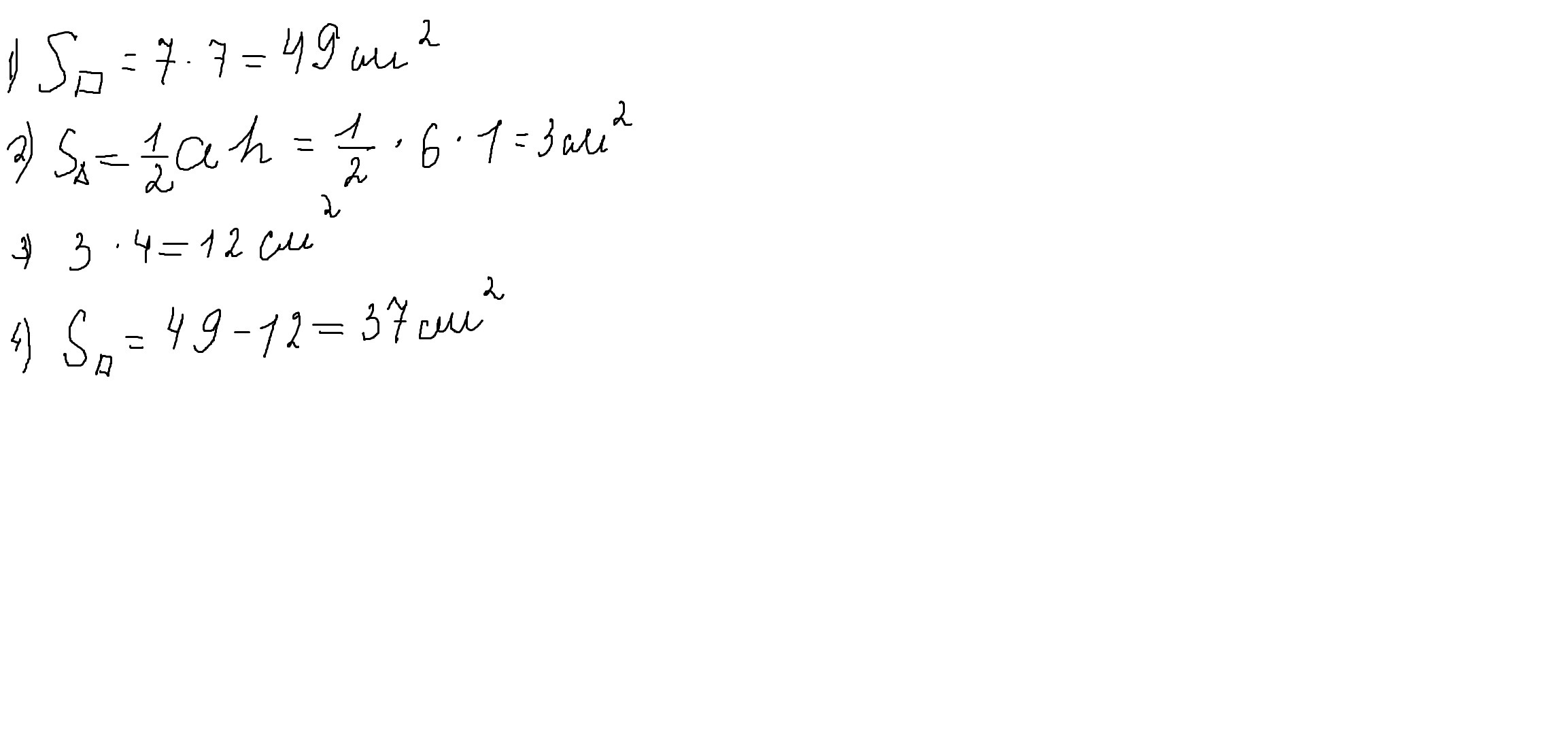
Ты уже дорисовал этот квадрат до большего квадрата,сторона которого
равна 7 клеткам,т.е. 7 см.
1)найдем площадь дорисованного квадрата
2)найдем площадь одного треугольника
3)найдем площадь 4-х треугольников
4)вычтем из площади дорисованного квадрата площадь 4-х треугольников и получим площадь начального квадрата.
решение смотри внизу.
Приложения:
Похожие вопросы
Предмет: Алгебра,
автор: berromer
Предмет: Геометрия,
автор: logThin
Предмет: Математика,
автор: aiarudaniarkyzy
Предмет: Математика,
автор: Максим90000
Предмет: Математика,
автор: Twistyui