Предмет: Математика, автор: zgonnikovakisa11

Помогите пж с этим
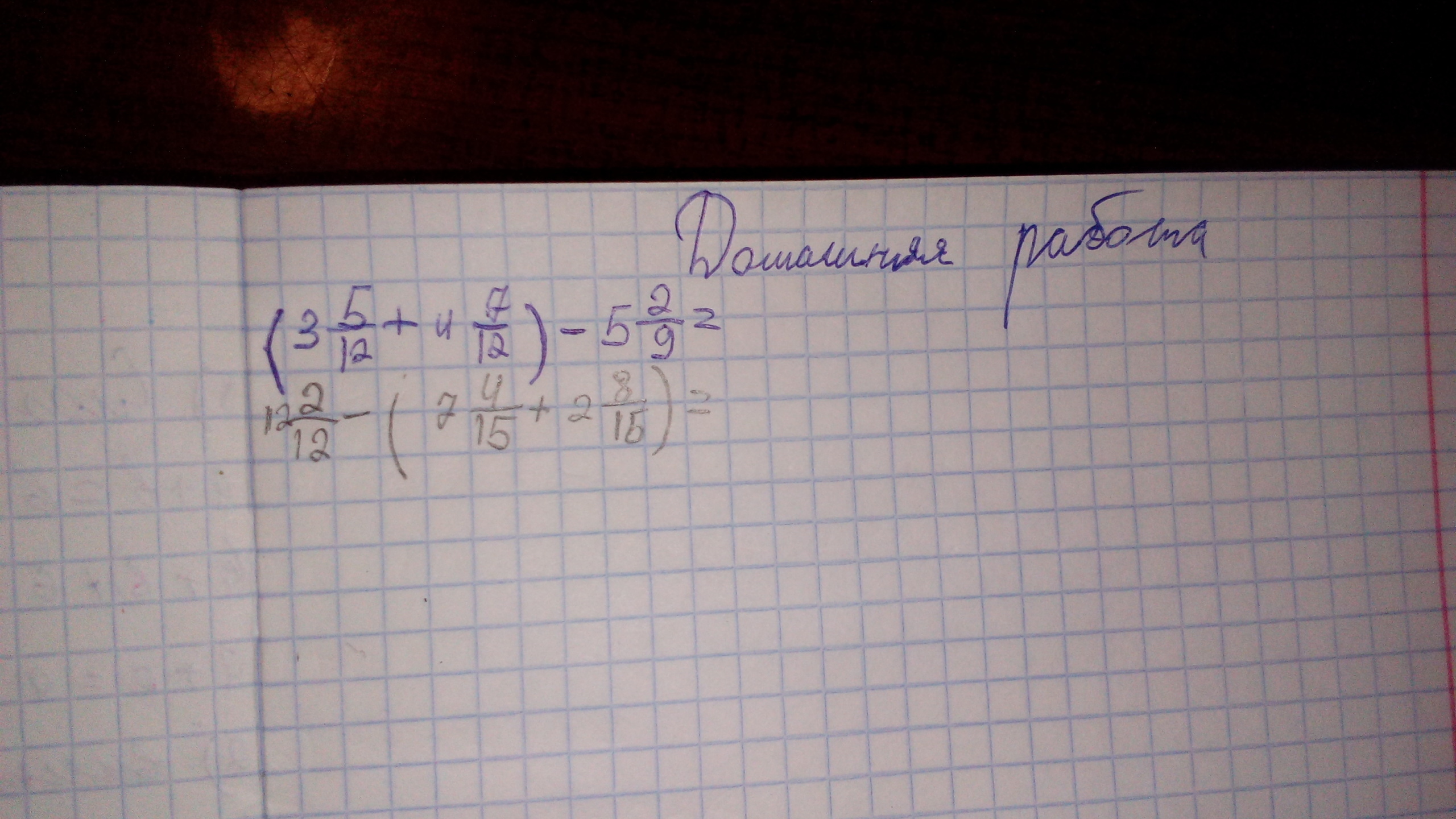
(3 5/12 + 4 7/12) - 5 2/9 =
12 2/12 - (7 4/15 + 2 8/15) =

Приложения:

Ответы

Автор ответа: Аноним
2

1) \\ ((3 + 4) + ( \frac{5}{12}  +  \frac{7}{12} )) -  \frac{47}{9}  = (7 + 1) -  \frac{47}{9}  = 8 -  \frac{47}{9}  =  \frac{25}{9}  = 2 \frac{7}{9}  \\  \\  -  -  -  -  -  -  -  -  -  -  -  -  \\  \\  \frac{146}{12}  - ((7 + 2) + ( \frac{4}{15}  +  \frac{8}{15} )) =  \frac{146}{12}  - (9 +  \frac{4}{5} ) =  \frac{146}{12}  - 9 \frac{4}{5}  =  \frac{146}{12}  -  \frac{49}{5}  =  \frac{71}{30}  =  2 \frac{11}{30}
Похожие вопросы