Предмет: Математика,
автор: SOS004
помогите пожалуйсто срочно плиз
Приложения:
Ответы
Автор ответа:
1
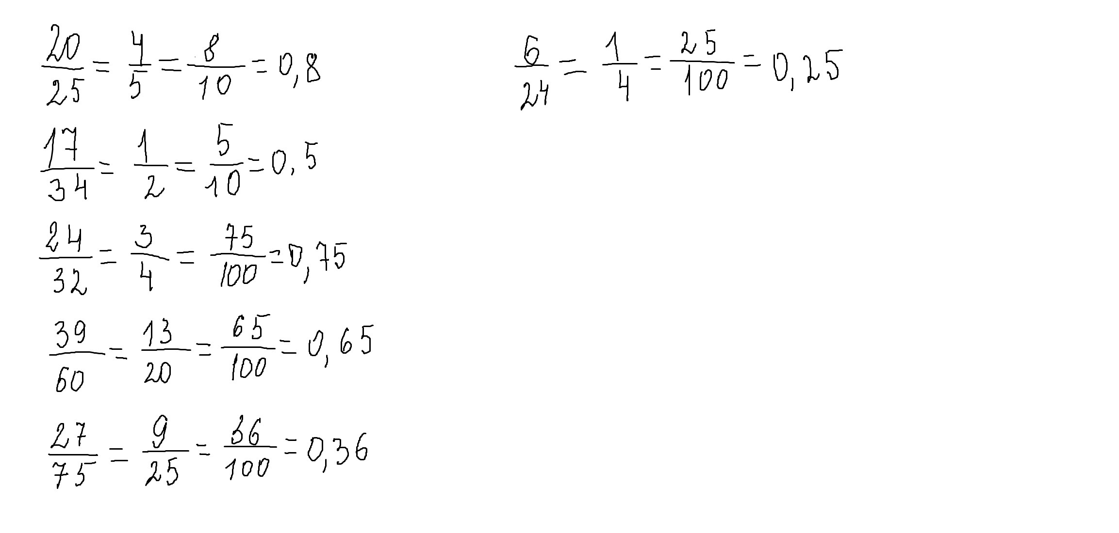
решение смотри внизу
Приложения:
SOS004:
о выручил спс
Похожие вопросы
Предмет: Литература,
автор: k31032099
Предмет: Английский язык,
автор: gybka888
Предмет: Русский язык,
автор: Javokhir111
Предмет: География,
автор: timga