Предмет: Алгебра,
автор: zverevaanya
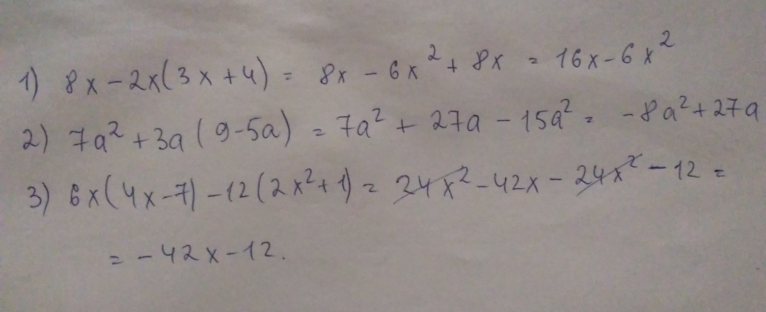
Упростите выражение: 1)8x-2x(3x+4) 2)7a²+3a(9-5a) 3)6x(4x-7)-12(2x²+1)
Ответы
Автор ответа:
7
1)8x - 6x²-8x = -6x² 2) 7a² + 27a - 15a² = 27a - 8a² 3) 24x² - 42x - 24x² - 12 = - 42x - 12
Alya245:
Вообще, можешь ещё найти в плеймарките приложение, которое по фото считает примеры. По русски называется фото математика
Автор ответа:
3
......................
Приложения:
там в первом прости -6х^2
Похожие вопросы
Предмет: Немецкий язык,
автор: Аноним
Предмет: Қазақ тiлi,
автор: aishakasymhan13
Предмет: Математика,
автор: dodaboevanilufar
Предмет: Математика,
автор: vkp112686