Предмет: Алгебра,
автор: tatyana11052004
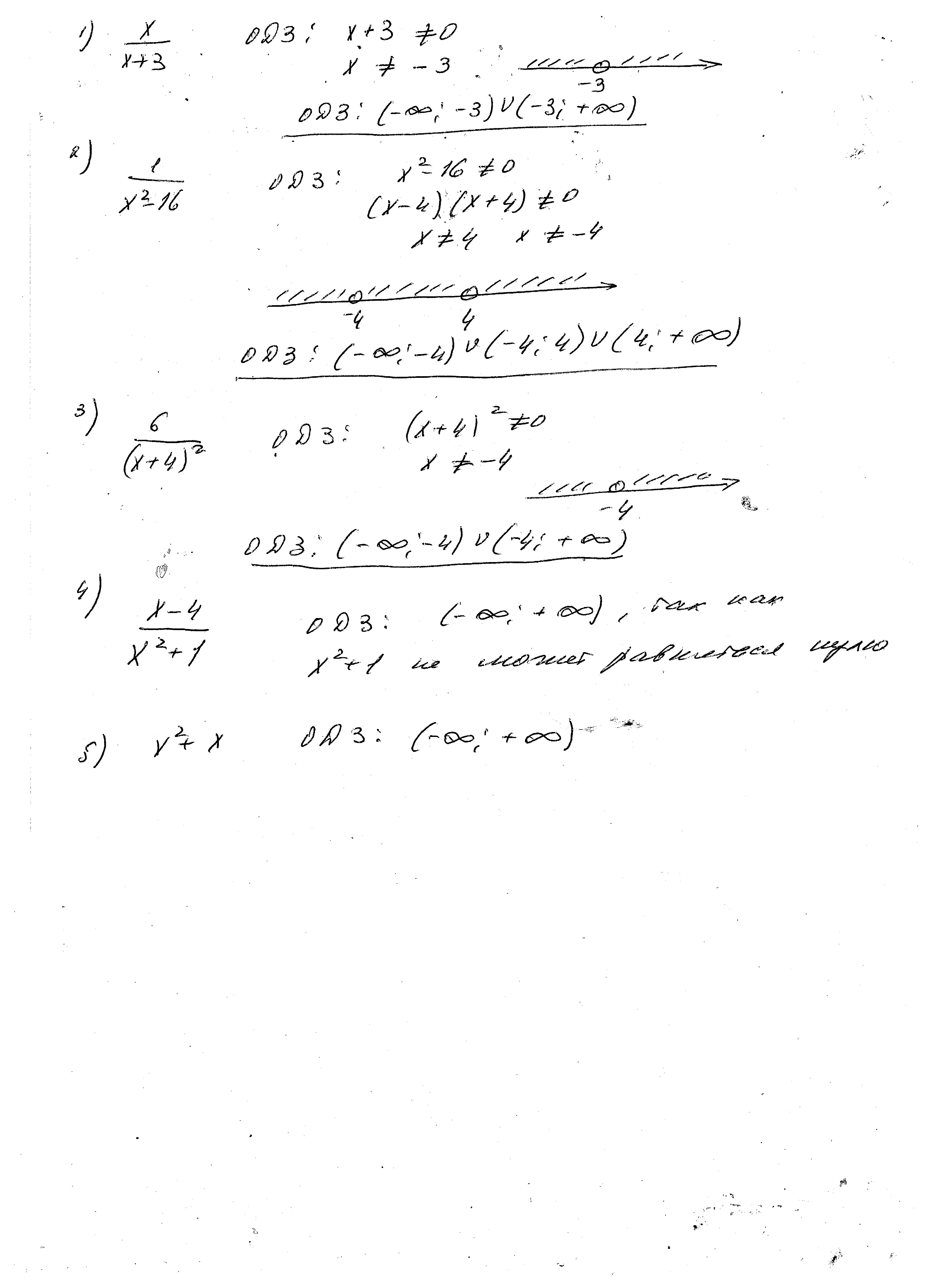
Помогите зайти одз 5 примеров
Приложения:
Ответы
Автор ответа:
1
решение - в приложении
Приложения:
Похожие вопросы
Предмет: Информатика,
автор: kuangalidamir
Предмет: Математика,
автор: aneckagonca
Предмет: Биология,
автор: mnmnik039
Предмет: Математика,
автор: насиб2
Предмет: Математика,
автор: sdawefZS