Предмет: Математика,
автор: Vertta
Почему надо именно так решать? Объясните, пж!!!
Приложения:
Ответы
Автор ответа:
1
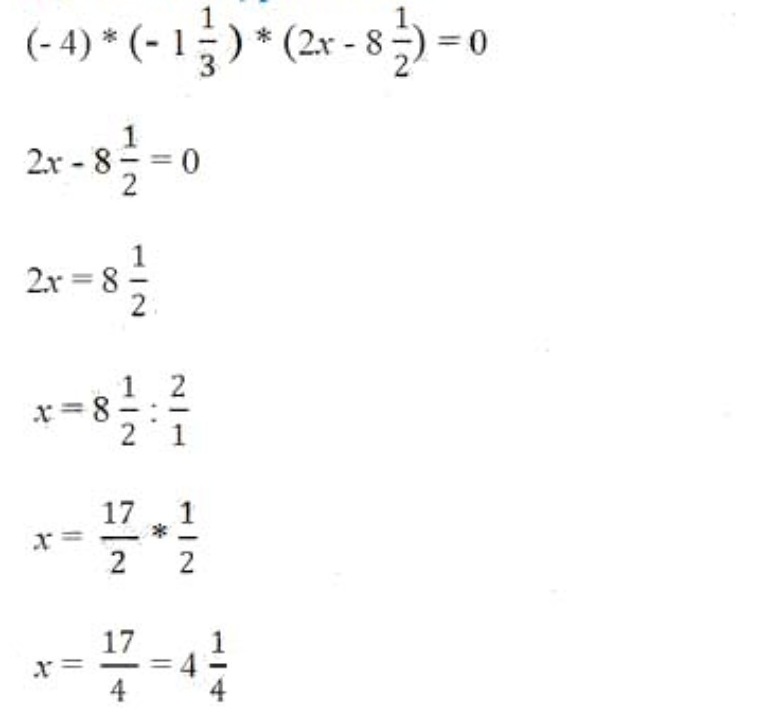
первое действие
мы делим обе части уравнения на неравные нулю множители (-4)(-1⅓)
переносим все слагаемые с неизвестным влево, а свободные члены вправо
Потом приводим 8½ к виду неправильной дроби
И заменяем операцию деления на 2, равносильной ей операцией умножения на ½
мы делим обе части уравнения на неравные нулю множители (-4)(-1⅓)
переносим все слагаемые с неизвестным влево, а свободные члены вправо
Потом приводим 8½ к виду неправильной дроби
И заменяем операцию деления на 2, равносильной ей операцией умножения на ½
Похожие вопросы
Предмет: География,
автор: alibagross
Предмет: Геометрия,
автор: lerakisel2009
Предмет: Математика,
автор: nastya154556
Предмет: Математика,
автор: wwwlubalubaru
Предмет: Математика,
автор: Юлька2611