Предмет: Алгебра,
автор: hdjahuzizjjj
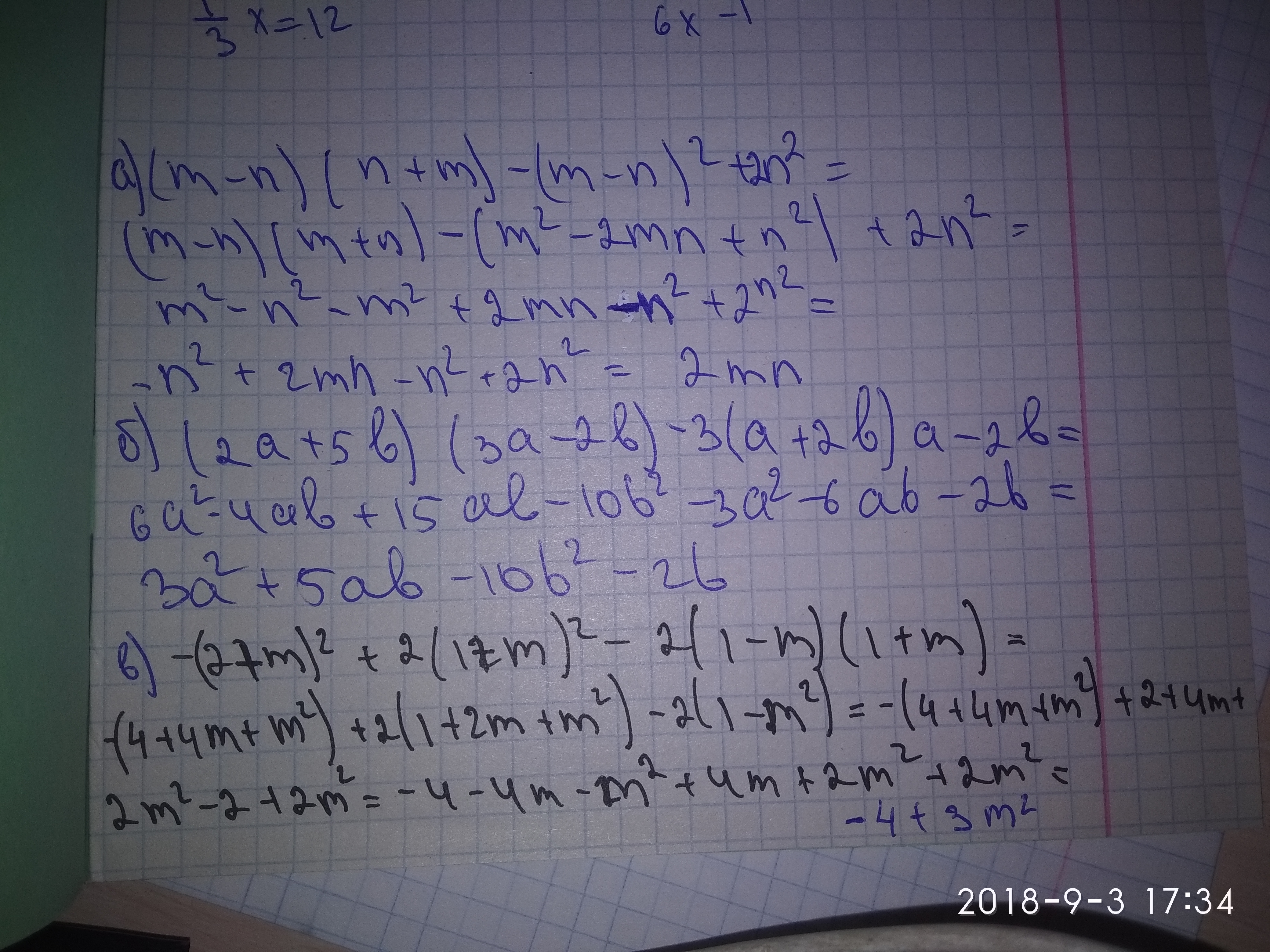
Номер 5,нужно привести к подобным слагаемым,что-то такое
Приложения:
Ответы
Автор ответа:
0
Надеюсь , что ч е будет понятно
Приложения:
Похожие вопросы
Предмет: Английский язык,
автор: aneliadzumabaeva0
Предмет: Геометрия,
автор: babi82
Предмет: Психология,
автор: Аноним
Предмет: Обществознание,
автор: Даренка3
Предмет: Геометрия,
автор: Boutdrago