Предмет: Алгебра,
автор: ksxjsososkksskksapl
Помогите пожалуйста, заранее спасибо
Приложения:
Ответы
Автор ответа:
0
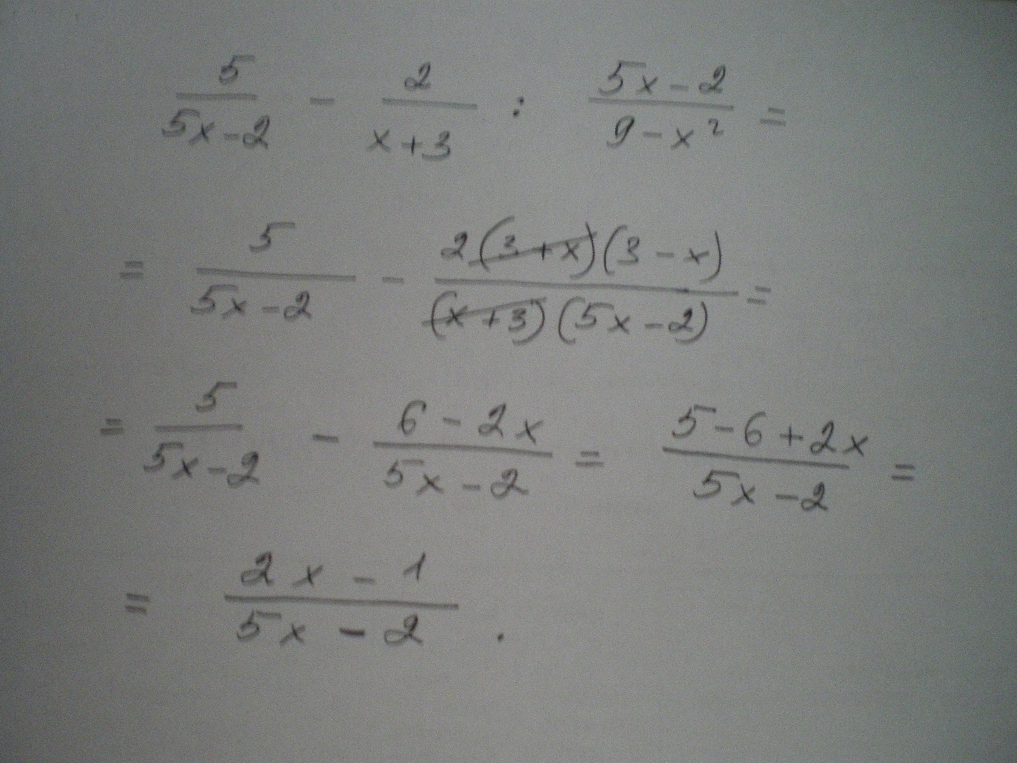
::::::::::решение:::::::::::::
Приложения:
Похожие вопросы
Предмет: Математика,
автор: akupovamalika164
Предмет: Українська література,
автор: olgadoskac54
Предмет: Геометрия,
автор: kurylevameri
Предмет: Математика,
автор: 141283
Предмет: Биология,
автор: Patya3917