Предмет: Алгебра,
автор: Miranime
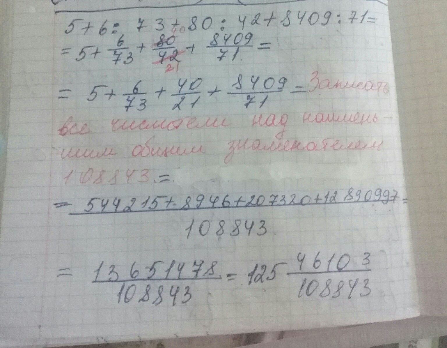
5+6:73+80:42+8409:71=?
С решением 7_7
Ответы
Автор ответа:
2
___________________
Готово!!!Удачи!!!
____________________
Если что то непонятно то обращайтесь!!!!
Готово!!!Удачи!!!
____________________
Если что то непонятно то обращайтесь!!!!
Приложения:
Похожие вопросы
Предмет: Математика,
автор: kurbanovazebo07
Предмет: Литература,
автор: danil24141
Предмет: Английский язык,
автор: myrzabekovnurasyl2
Предмет: История,
автор: vishny2005
Предмет: Математика,
автор: хэзж
А оно само[email protected]!!!!!!!!!!!!$#/^&*@";-;";#"((@)!,:?,")))))