Предмет: Алгебра,
автор: avfbkhjkkok
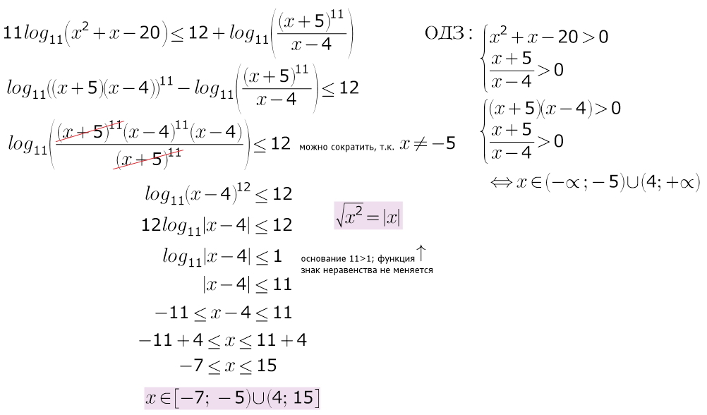
Решите неравенство 11log11(x^2+x−20)≤12+log11(x+5)^11/x−4.Вопрос дополнен картинкой.
Приложения:
LFP:
для записи дроби (т.к. в строку...) нужно числитель взять в скобки и знаменатель взять в скобки... иначе не визно где начинается и заканчивается и то и другое...
не видно...
вопрос дополнен картинкой
а вот это здорово...
Ответы
Автор ответа:
15
если есть ответы--можно сравнить...
если остались вопросы (и замечания) --можно писать...
Приложения:
Похожие вопросы
Предмет: Математика,
автор: azhmzhanna
Предмет: Алгебра,
автор: bibear59
Предмет: Физкультура и спорт,
автор: kirillvoronin25475
Предмет: Математика,
автор: Аноним