Предмет: Математика,
автор: anastasiya1893
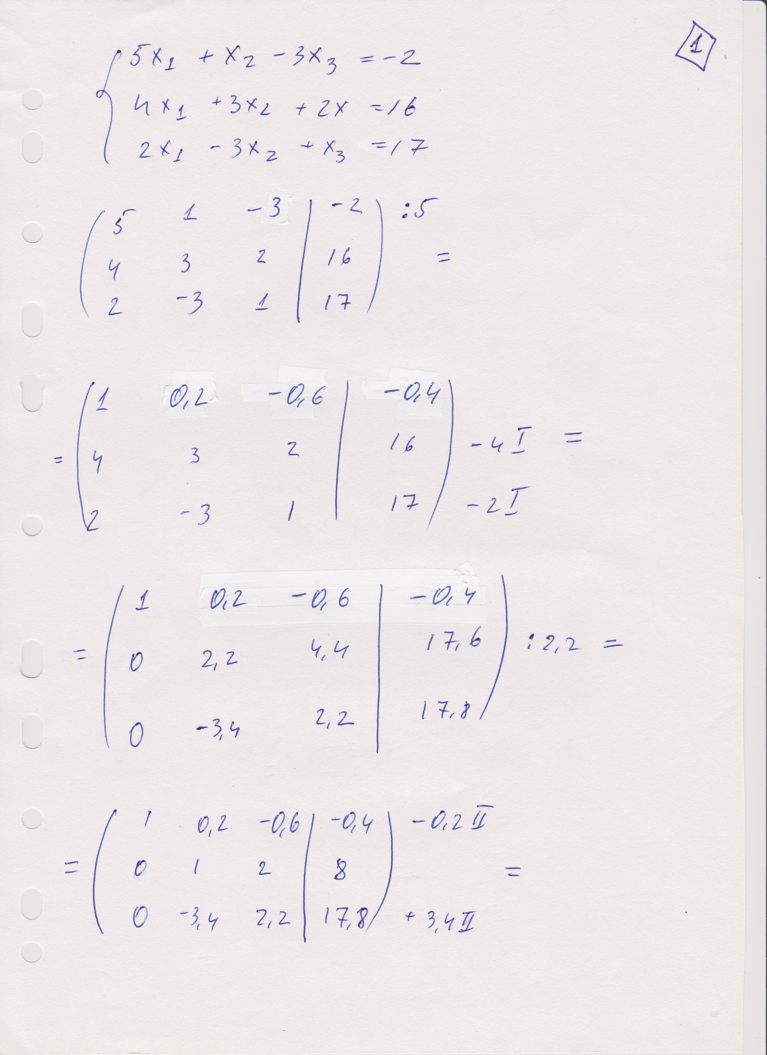
Помогите пожалуйста решить систему линейных уравнений
Приложения:
Ответы
Автор ответа:
1
Решение на картинках
Приложения:
Похожие вопросы
Предмет: История,
автор: zozzannice
Предмет: Английский язык,
автор: 44555443
Предмет: Физика,
автор: dzamalhanovakarina7
Предмет: Математика,
автор: Аноним
Предмет: Математика,
автор: nana36