Предмет: Математика,
автор: kiselevaarina2p0sp6z
срочноооооооооооооооооо
Приложения:
Ответы
Автор ответа:
0
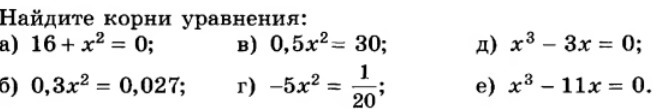
а)16+x²=0
т.к х²≥0, 16>0,
то это равенство недостижимо при действительных х
решений нет
б) 0,3х²=0,027
0,3( x²-0,09)=0
(x-0,3)(x+0,3)=0
x¹=0,3 x²= -0,3
в)0,5х²=30
0,5(x²-60)=0
(x-2✓15)(x+2√15)=0
x¹'²= ±2✓15
г) -5х²=1/20
-5(x²+(1/100))=0
x²+(1/100)=0
x²≥0 и 1/100>0
то это равенство недостижимо при действительных х
решений нет
д)х³-3x=0
x(x²-3)=0
x(x-✓3)(x+√3)=0
x¹=0
x²'³=±√3
e)х³-11x=0
x(x²-11)=0
x(x-✓11)(x+√11)=0
x¹=0
x²'³=±✓11
т.к х²≥0, 16>0,
то это равенство недостижимо при действительных х
решений нет
б) 0,3х²=0,027
0,3( x²-0,09)=0
(x-0,3)(x+0,3)=0
x¹=0,3 x²= -0,3
в)0,5х²=30
0,5(x²-60)=0
(x-2✓15)(x+2√15)=0
x¹'²= ±2✓15
г) -5х²=1/20
-5(x²+(1/100))=0
x²+(1/100)=0
x²≥0 и 1/100>0
то это равенство недостижимо при действительных х
решений нет
д)х³-3x=0
x(x²-3)=0
x(x-✓3)(x+√3)=0
x¹=0
x²'³=±√3
e)х³-11x=0
x(x²-11)=0
x(x-✓11)(x+√11)=0
x¹=0
x²'³=±✓11
Похожие вопросы
Предмет: Алгебра,
автор: ianatolij351
Предмет: Геометрия,
автор: eldyrovapolina
Предмет: Русский язык,
автор: ZhannurOrynbasar
Предмет: Алгебра,
автор: Valya0404