Предмет: Алгебра,
автор: cheburashka186
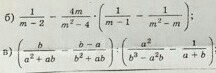
помогите решить срочно
Приложения:
Ответы
Автор ответа:
2
Ответ находится на фото ниже:
Приложения:
Похожие вопросы
Предмет: Алгебра,
автор: natasababenko10
Предмет: Английский язык,
автор: darastankevic129
Предмет: Математика,
автор: valentinalazareva36
Предмет: Обществознание,
автор: Вика0316
Предмет: Математика,
автор: CakeByTheOcean