Предмет: Алгебра,
автор: uwgshshsj
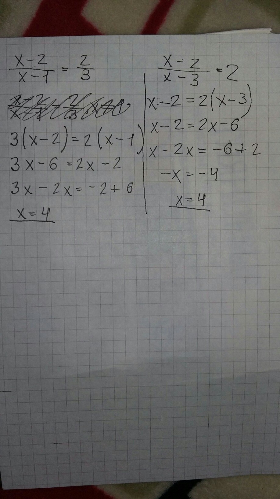
Помогите решить уровнения (дроби)
Приложения:
Ответы
Автор ответа:
1
ответ и решение смотри в вложении ниже
Приложения:
uwgshshsj:
спасибо)
Автор ответа:
1
:::::::::::::::::::::::
Приложения:
Похожие вопросы
Предмет: География,
автор: shinkis
Предмет: Алгебра,
автор: keelmeena
Предмет: Физика,
автор: heykitty3
Предмет: Литература,
автор: kirya2208228
Предмет: Химия,
автор: idy2001