Предмет: Алгебра,
автор: bekaskgz49
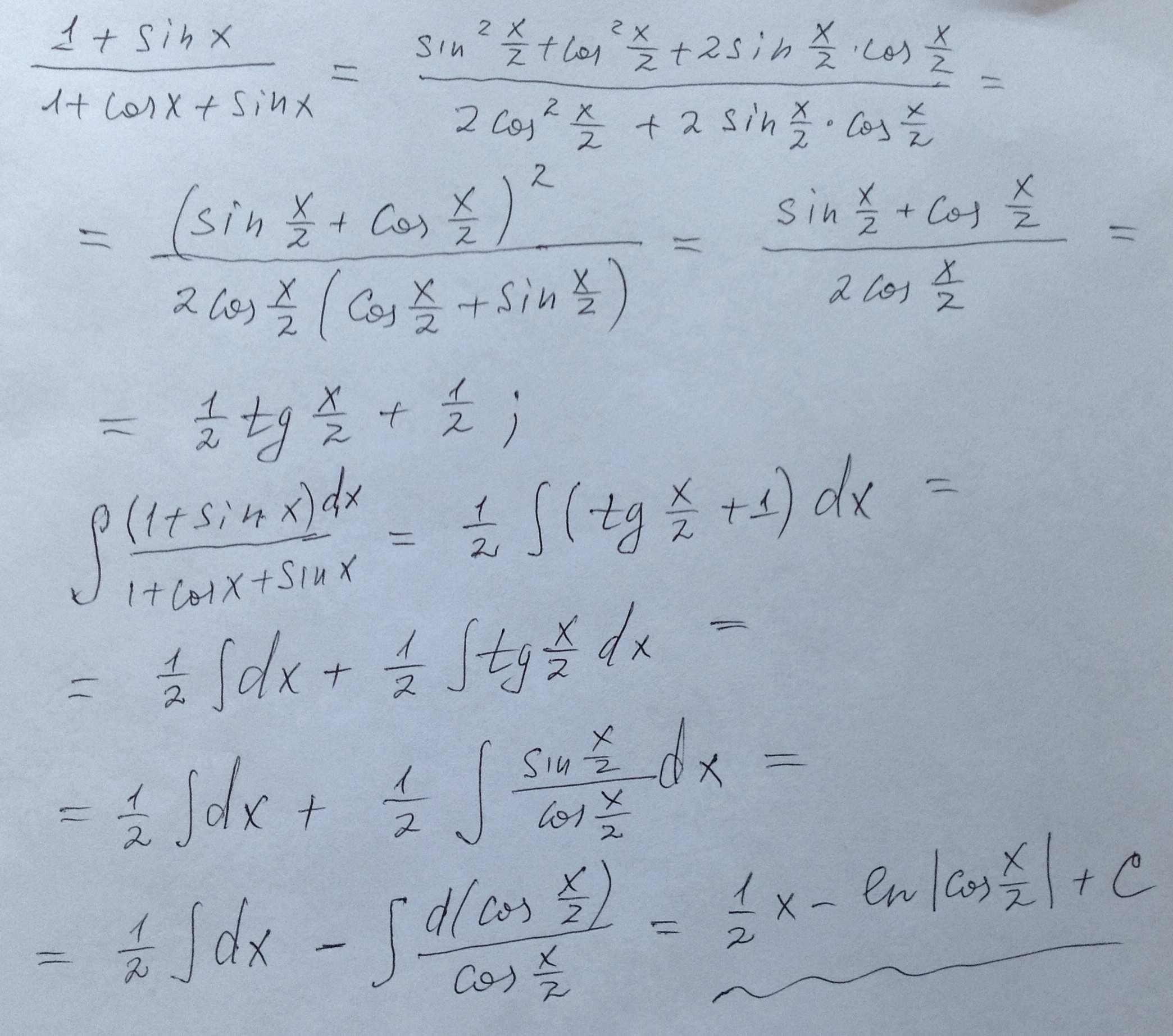
интеграл 1+sinx/(1+cosx+sinx). Помогите
Ответы
Автор ответа:
1
////////////////////////////////////////////////////////////////////////////////
Приложения:
Похожие вопросы
Предмет: Русский язык,
автор: dkkdkdkdkdk
Предмет: Геометрия,
автор: kinderap868
Предмет: Українська мова,
автор: smwallre
Предмет: Алгебра,
автор: hazi2
Предмет: Биология,
автор: ангелина415