Предмет: Математика,
автор: ikoninjoka
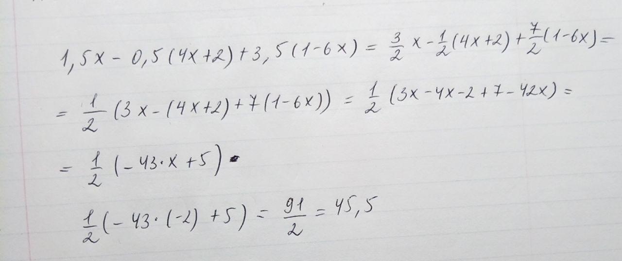
10. Упрости выражение 1,5х – 0,5 (4х + 2) + 3,5 (1-6х) и найди его
значение при х = - 2
Ответы
Автор ответа:
1
Решение смотри на фото.
Если я смогла тебе помочь, отметь, пожалуйста, мое решение как наилучшее. Заранее спасибо!
Приложения:
Автор ответа:
0
Решение внизу на фото
Приложения:
Похожие вопросы
Предмет: Алгебра,
автор: LiliaNemceva
Предмет: Литература,
автор: afanamashad
Предмет: Физика,
автор: youknow93
Предмет: Математика,
автор: Аноним