Предмет: Алгебра,
автор: Аноним
ПОМОГИТЕ ПОЖАЛУЙСТА СРОЧНО ПРОШУ
Приложения:
Ответы
Автор ответа:
0
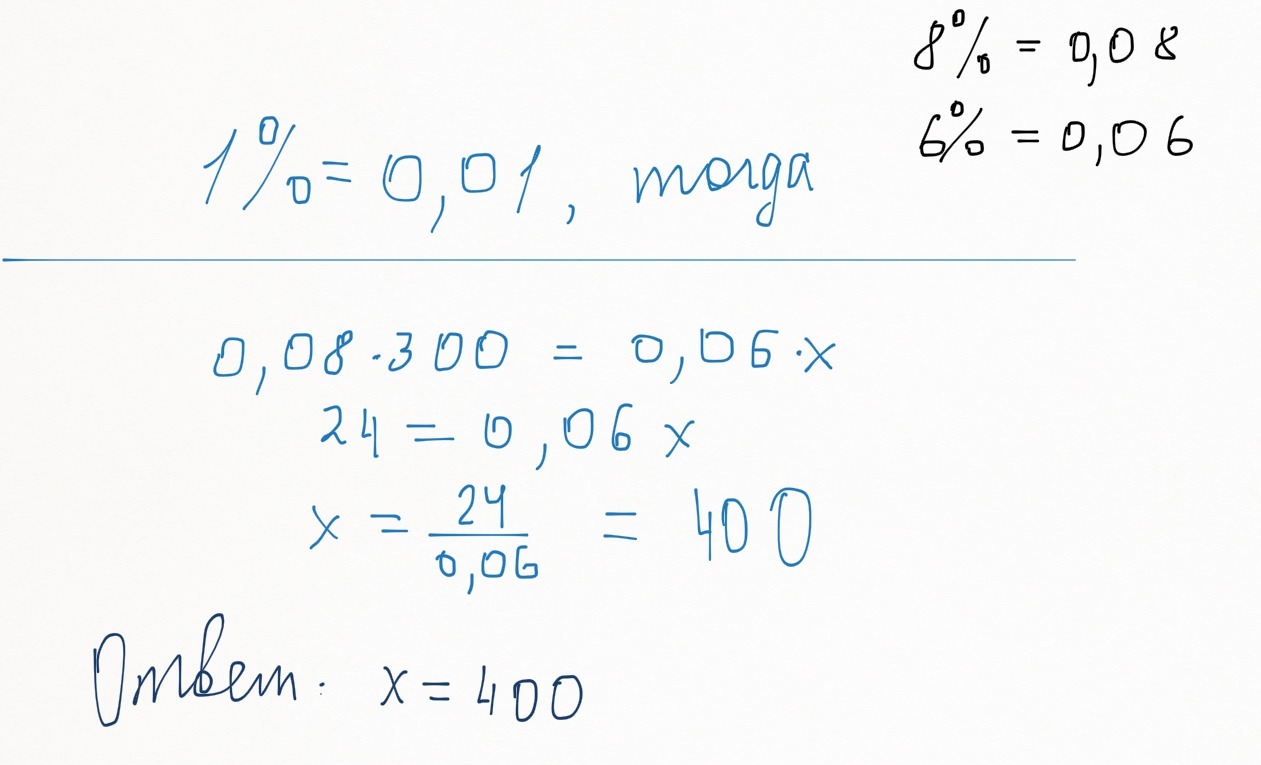
Решение во вложении. Удачи
Приложения:
Автор ответа:
0
Думаю, все понятно.
Приложения:
Похожие вопросы
Предмет: География,
автор: lolmori77
Предмет: Математика,
автор: bibid63842
Предмет: Английский язык,
автор: trrdragon
Предмет: Математика,
автор: Ксюша11184