Предмет: Алгебра,
автор: Аноним
ПОМОГИТЕ ПОЖАЛУЙСТА СРОЧНО ПРОШУ
Приложения:
Ответы
Автор ответа:
0
8)

Ответ: -28/33.
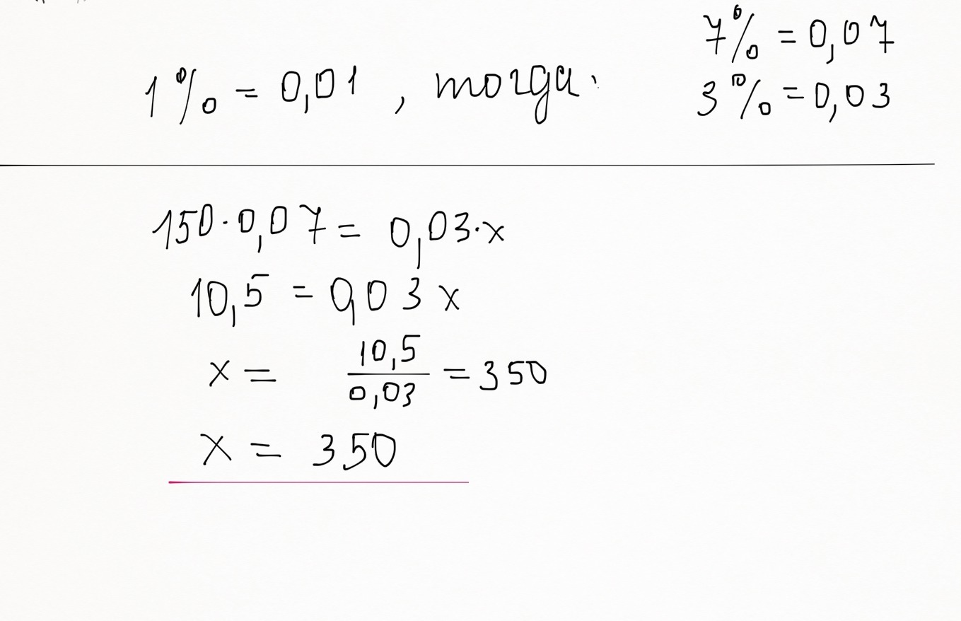
8) 150 -- 100%
a -- 7%
a = 150*7/100 = 10,5
x -- 100%
10,5 -- 3%
x = 10,5*100/3 = 350
Ответ: 350
Ответ: -28/33.
8) 150 -- 100%
a -- 7%
a = 150*7/100 = 10,5
x -- 100%
10,5 -- 3%
x = 10,5*100/3 = 350
Ответ: 350
Автор ответа:
0
Решение прикреплено. Удачи
Приложения:
Похожие вопросы
Предмет: Математика,
автор: yliadonets1989
Предмет: История,
автор: azharassainova11
Предмет: Математика,
автор: dinarakarataeva99
Предмет: Математика,
автор: edfn
Предмет: Математика,
автор: jmorik