Предмет: Математика,
автор: rusci2006
ХЕЕЕЕЕЛП УРАВНЕНИЯ С РЕШЕНИЯМИ
Приложения:
Ответы
Автор ответа:
0
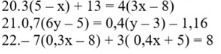
20.
3(5-х)+13=4(3х-8)
15-3х+13=12х-32
-3х-12х=-32-15-13
-15х=-60
х=4
21.
0,7(6у-5)=0,4(у-3)-1,16
4,2у-3,5=0,4у-1,2-1,16
4,2у-0,4у=-1,2-1,16+3,5
3,8у=1,14
у=0,3
22.
-7(0,3х-8)+3(0,4х+5)=8
-2,1х+56+1,2х+15=8
-2,1х+1,2х=8-15-56
-0.9х=-63
х=70
3(5-х)+13=4(3х-8)
15-3х+13=12х-32
-3х-12х=-32-15-13
-15х=-60
х=4
21.
0,7(6у-5)=0,4(у-3)-1,16
4,2у-3,5=0,4у-1,2-1,16
4,2у-0,4у=-1,2-1,16+3,5
3,8у=1,14
у=0,3
22.
-7(0,3х-8)+3(0,4х+5)=8
-2,1х+56+1,2х+15=8
-2,1х+1,2х=8-15-56
-0.9х=-63
х=70
Автор ответа:
0
Вот решение думаю поймешь!
Приложения:
Похожие вопросы
Предмет: Алгебра,
автор: mtregubenko
Предмет: Українська мова,
автор: yulia050919
Предмет: Русский язык,
автор: lubanaykrylova1601
Предмет: Математика,
автор: lenalistova