Предмет: Алгебра,
автор: irina220597
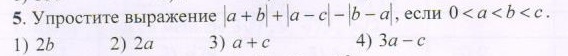
помогите решишь пожалуйста
Приложения:
irina220597:
только ответ
2а
Ответы
Автор ответа:
1
Ответ: 3)
Похожие вопросы
Предмет: Математика,
автор: kamilla4811
Предмет: Математика,
автор: edgarpetrosyan87
Предмет: Химия,
автор: bekbolsuntk
Предмет: Математика,
автор: JiJi11