Предмет: Физика,
автор: vlad21022
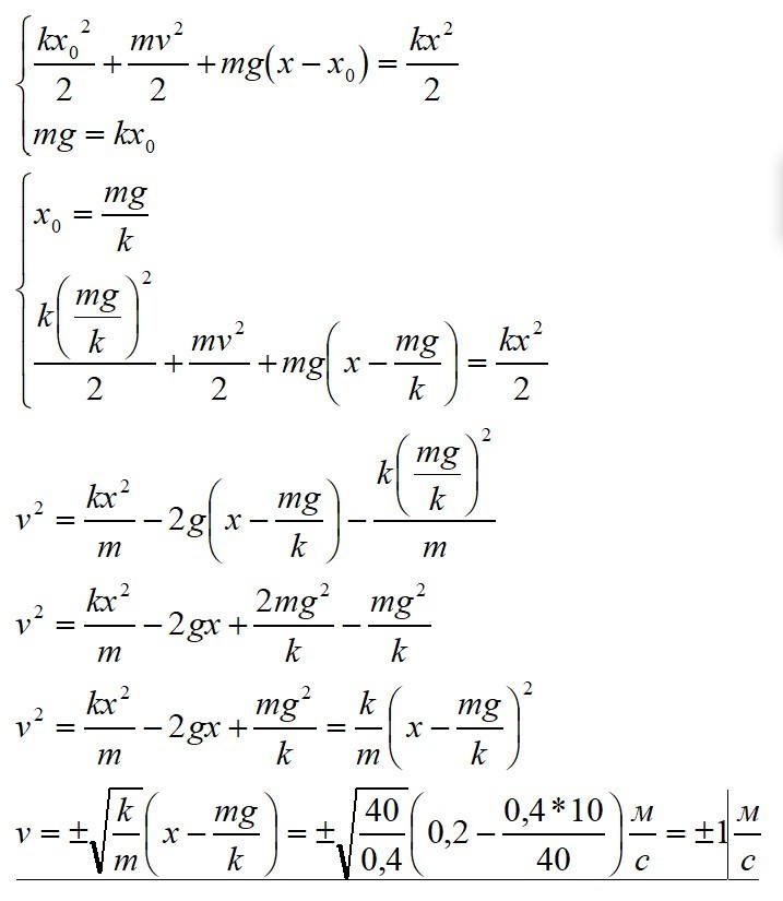
Якої вертикальної швидкості треба надати тілу масою 400 г, яке висить на пружині жорсткістю 40 Н/м, щоб видовження пружини становило 20 см?
Ответы
Автор ответа:
1
смотри решение во вложении
x0 - начальное удлиннение
х - конечное удлиннение
v - искомая минимальная скорость
ответ v = 1 м/с
Приложения:
Похожие вопросы
Предмет: География,
автор: alinatitarenko800
Предмет: Химия,
автор: эльф2005
Предмет: Французский язык,
автор: gt0ix
Предмет: Математика,
автор: morozi
Предмет: История,
автор: maga200056