Предмет: Математика,
автор: МОЯШКОЛАЛУЧШАЯ
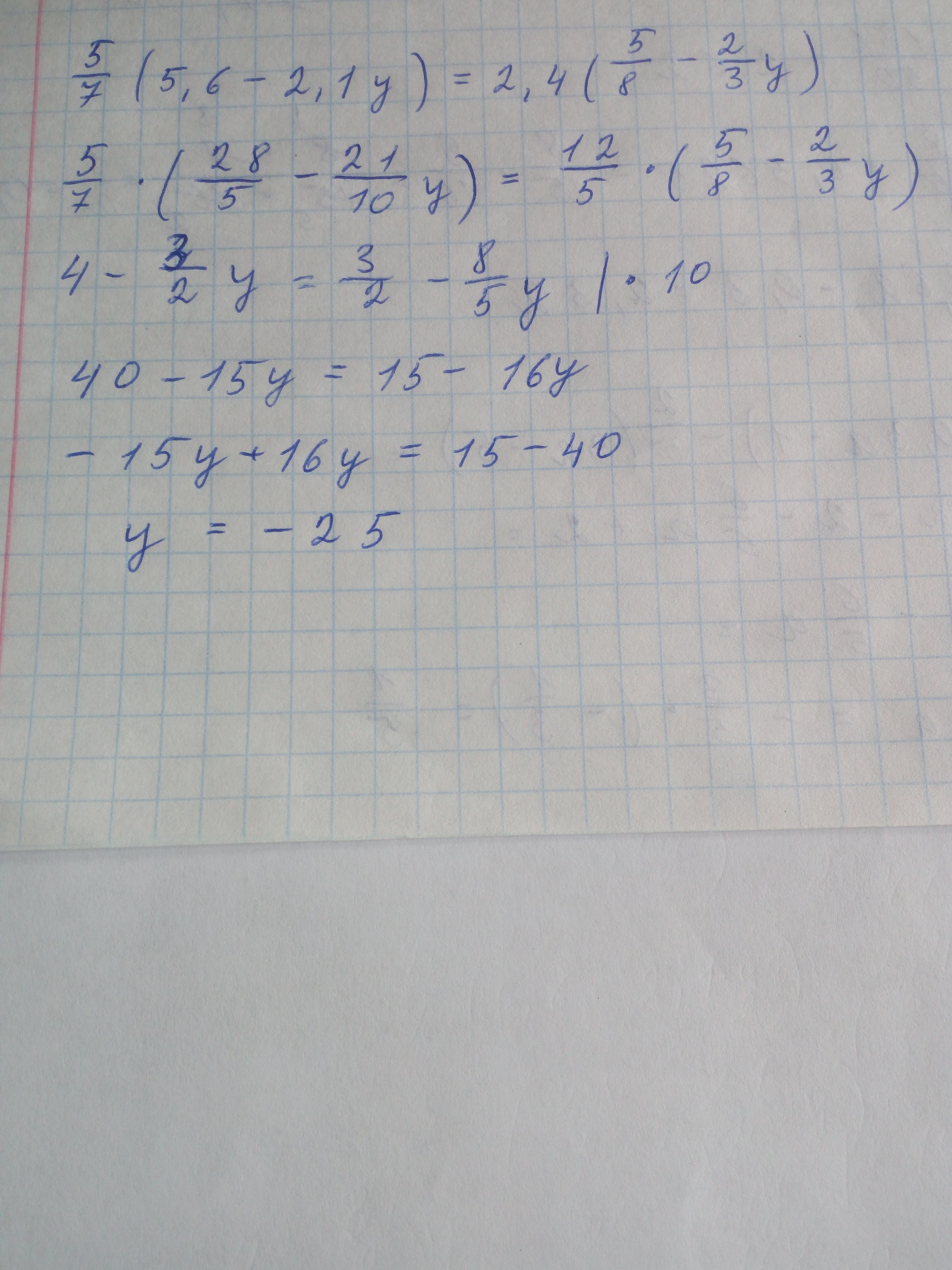
5/7(5,6 - 2,1 y)=2,4(5/8-2/3y)
РЕШИТЕ ПОЖАЛУЙСТА
Ответы
Автор ответа:
1
См, фото))))))))))))))))))))))))))))))
Приложения:
Похожие вопросы
Предмет: Другие предметы,
автор: timurzaripov741
Предмет: Английский язык,
автор: okokichi566
Предмет: Русский язык,
автор: kanatbekkyzyadelina
Предмет: Математика,
автор: софия314
Предмет: Математика,
автор: математика423