Предмет: Математика,
автор: vladislavkim13pdgcob
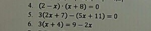
Уравнения полное решение
Приложения:
Ответы
Автор ответа:
0
!!!!!!!!!!!!!!!!!!!!!!!!!!!!!!!
Приложения:
Автор ответа:
0
Решение внизу на фото
Приложения:
Похожие вопросы
Предмет: Другие предметы,
автор: olerrrr68
Предмет: Алгебра,
автор: nomogitecdomashkoi
Предмет: Литература,
автор: sidrinsava
Предмет: Математика,
автор: aidana234432
Предмет: Геометрия,
автор: Alina255211