Предмет: Алгебра, автор: fgfddda

Помогите решить номер 62 пожалуйста!

Приложения:

Ответы

Автор ответа: artalex74
1

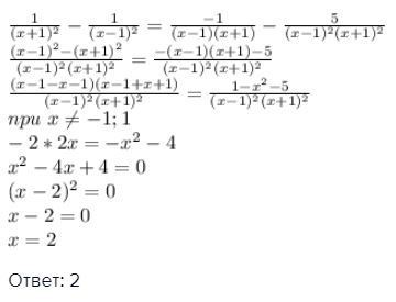
 \frac{1}{(x+1)^2} -\frac{1}{(x-1)^2} =\frac{-1}{(x-1)(x+1)} -\frac{5}{(x-1)^2(x+1)^2} \\ \frac{(x-1)^2-(x+1)^2}{(x-1)^2(x+1)^2} =\frac{-(x-1)(x+1)-5}{(x-1)^2(x+1)^2} \\ \frac{(x-1-x-1)(x-1+x+1)}{(x-1)^2(x+1)^2} =\frac{1-x^2-5}{(x-1)^2(x+1)^2} \\ npu\ x\neq -1; 1\\ -2*2x=-x^2-4\\ x^2-4x+4=0\\ (x-2)^2=0\\ x-2=0\\ x=2

Ответ: 2

Приложения:
Похожие вопросы