Предмет: Математика,
автор: camakwla
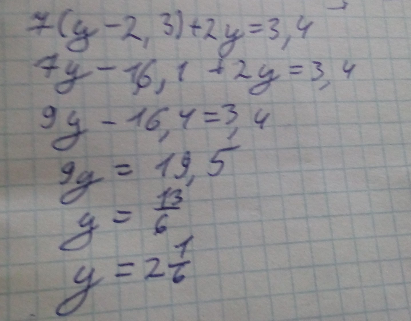
При каком значении y значение выражения 7*(y-2.3)+2y равно 3.4? решите пж заранее спасибо
Ответы
Автор ответа:
0
7 * (y - 2,3) + 2y = 3,4
7у - 16,1 + 2у = 3,4
9у = 19,5
у = 19,5 : 9

7у - 16,1 + 2у = 3,4
9у = 19,5
у = 19,5 : 9
Автор ответа:
0
ответ на фото .......
Приложения:
Похожие вопросы
Предмет: Алгебра,
автор: ri2588780
Предмет: Математика,
автор: darinaniazova1
Предмет: История,
автор: kausarzumabek12
Предмет: Математика,
автор: ттт310