Предмет: Алгебра,
автор: ryanwolf2000
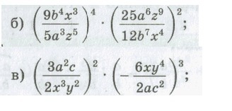
Упростите эти ворожения
Приложения:
Ответы
Автор ответа:
0
на счёт минуса в (в) :
произведение положительного и отрицательного значения отрицательные поэтому я и перенес минус в 1е , что бы не меналось
произведение положительного и отрицательного значения отрицательные поэтому я и перенес минус в 1е , что бы не меналось
Приложения:
Похожие вопросы
Предмет: Қазақ тiлi,
автор: anastasiagudko73
Предмет: Математика,
автор: Аноним
Предмет: Қазақ тiлi,
автор: anastasiyarybina55
Предмет: Алгебра,
автор: radim22