Предмет: Алгебра,
автор: albertt1
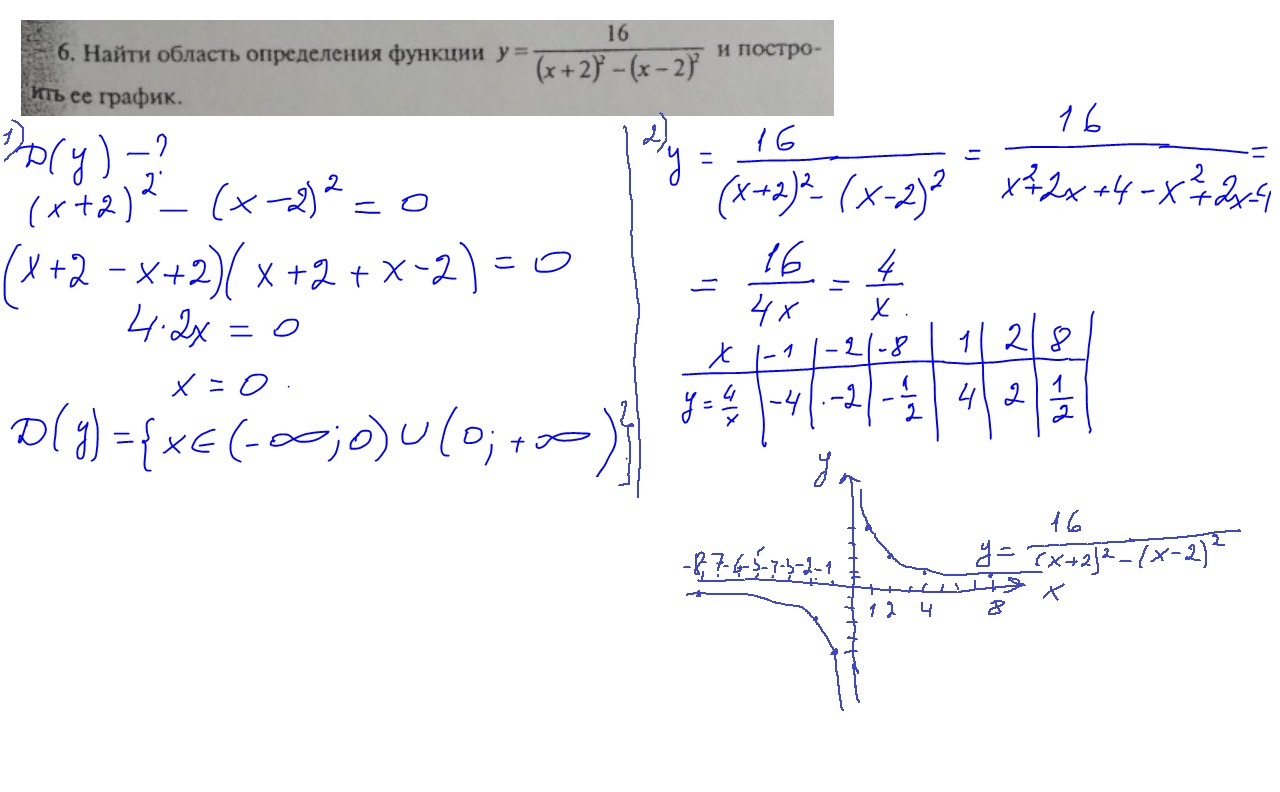
Вариант А номера 6 и 7
Приложения:
Ответы
Автор ответа:
1
........................... ......................... ...........................
Приложения:
Похожие вопросы
Предмет: Биология,
автор: Аноним
Предмет: Математика,
автор: mushanova78
Предмет: Алгебра,
автор: korkinomihail123
Предмет: Литература,
автор: KPAHCHIK
Предмет: Математика,
автор: Аноним