Предмет: Математика,
автор: anghielinakriu
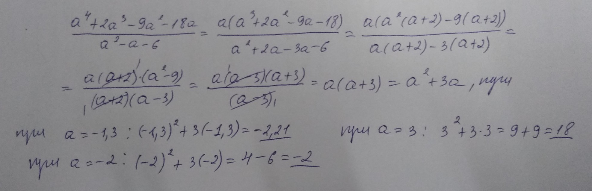
Помогите с номером 2.37 под буквой А
Приложения:
Ответы
Автор ответа:
2
Решение подробное здесь.
---------------------------------------------------
---------------------------------------------------
Приложения:
Похожие вопросы
Предмет: Математика,
автор: tiktok87
Предмет: Русский язык,
автор: mvideo2530
Предмет: Математика,
автор: kirillfnaftvms
Предмет: Математика,
автор: yaponcha1
Предмет: Химия,
автор: валя113