Предмет: Алгебра,
автор: alinkaaafoxx
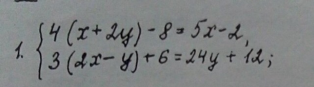
Помогите решить систему
Приложения:
Ответы
Автор ответа:
1
Удачи)))
..................................
Приложения:
alinkaaafoxx:
Я в них вообще ничего не соображаю ааааа
Автор ответа:
2
-----------------------------------------------------
Вот решение)
-----------------------------------------------------
Вот решение)
-----------------------------------------------------
Приложения:
Похожие вопросы
Предмет: Математика,
автор: tokab6383
Предмет: Қазақ тiлi,
автор: dinmuhammedzandarbek
Предмет: Қазақ тiлi,
автор: Аноним
Предмет: Математика,
автор: ден449