Предмет: Алгебра,
автор: alina56785
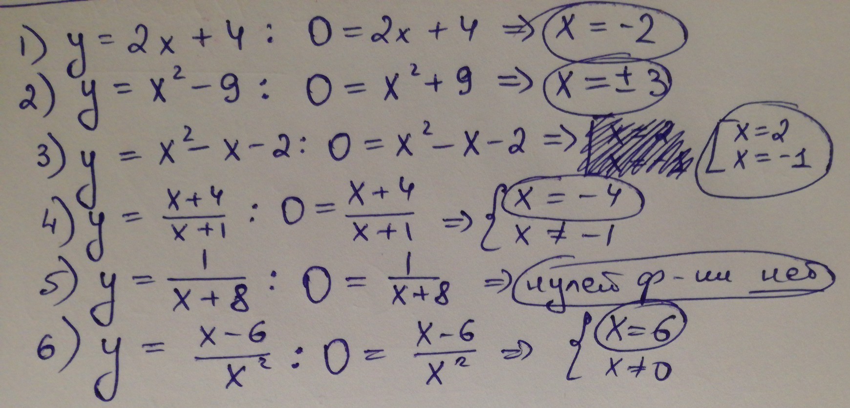
Найдите нули функции
1)y=2x-4
2)y= x в квадрате минус 9
3)y=икс в квадрате минус икс и минус 2
4) y= x+4/x-1
5)y= 1 деленное на x+8
6) y= x-6/ икс квадрат
Ответы
Автор ответа:
7
Смотрите ответ на фотографии
Приложения:
Света19999:
1) f(0) = -2/3; 2) f(1) = (1+2)/(1-3) = -3/2; 3) f(6) = (6+2)(6-3) = 8/3; 4) f(0.5) = (0.5+2)/(0.5-3) = 2.5/(-2.5) = -1
Спасибо а где вас можно найти чтоб изредка обращаться?
В вайбере или в ватс апе вы есть?
можно здесь через личные сообщения
Я не могу пишут нужно ответить на больше вопросов
Можете написать пожалуйста
личные контакты не даю
Хорошо можете пожалуйста написать мне тут
Просто пишут что нужно ответить на больше вопросов
Просто не получается написать пишет нужно ответить на больше вопросов
Похожие вопросы
Предмет: Другие предметы,
автор: nuriya246
Предмет: Физика,
автор: islomjonovxurshid7
Предмет: Українська література,
автор: dimon2009nhl
Предмет: Химия,
автор: qmxz
Предмет: Математика,
автор: KateReuters