Предмет: Алгебра,
автор: Аноним
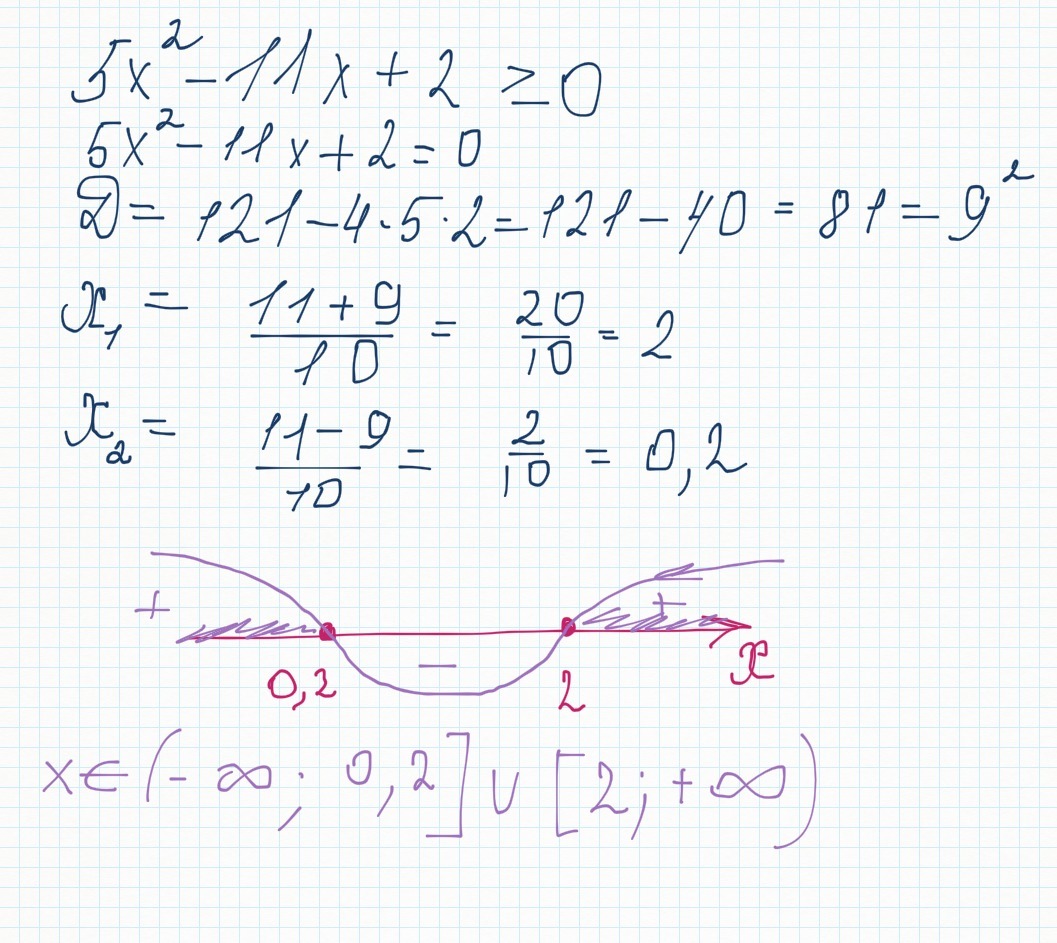
решите неравенство: 5x²-11x+2≥0
Ответы
Автор ответа:
4
Удачи) ..................................
Приложения:
Похожие вопросы
Предмет: Английский язык,
автор: kausararshynkyzy
Предмет: Математика,
автор: saziza888
Предмет: География,
автор: kirajosikage793
Предмет: Физика,
автор: aleksandrplotni
Предмет: Математика,
автор: Бейбис