Предмет: Математика,
автор: ojihugytfdw
Найдите числовое зн-ние выр-ние,предварительно упростив его,пожалуйста,только пример :
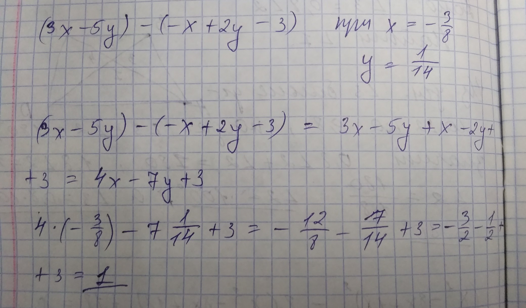
(3x-5y)-(-x+2y-3) при x=-3/8 ; y=1/14
Приложения:
Ответы
Автор ответа:
0
Вот)
----------------------------------------------------
----------------------------------------------------
Приложения:
Автор ответа:
0
1) (3x-5y)-(-x+2y-3) = 3x - 5y + x - 2y + 3 = 4х - 7у + 3 = 4 · (-3/8) - 7 · (1/14) + 3 = -3/2 - 1/2 +3 = -4/2 + 3 = -2 + 3 = 1.
2) n⁴⁸/(n¹⁹ * n²⁶) = n⁴⁸/(n⁴⁵) = n³; при n = 0,3 n³ = 0,3³ = 0,027; при n = -0,4 n³ = (-0,4)³ = -0,064;
3) 12x²yz⁷(0,5x³y⁸)² = 12x²yz⁷0,25x⁶y¹⁶ = 3x⁸y¹⁷z⁷;
((-5/9)a⁹b⁸c⁷):(5a³b³c) = (-1/9)a⁶b⁵c⁶
ojihugytfdw:
2 верно,1 нет.
Всё там верно
Похожие вопросы
Предмет: География,
автор: artyom0164
Предмет: Физика,
автор: cheburanovedara
Предмет: Английский язык,
автор: polinagolovacova
Предмет: Алгебра,
автор: Ystrica
Предмет: Математика,
автор: Бейбис