Предмет: Математика,
автор: vlados1
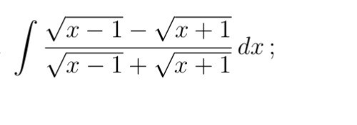
решить интеграл плиз
Приложения:
Ответы
Автор ответа:
0
Вот решение.
P. S. На втором листе окончательный ответ после подстановки

P. S. На втором листе окончательный ответ после подстановки
Приложения:
Похожие вопросы
Предмет: Английский язык,
автор: Аноним
Предмет: Математика,
автор: Ezbots
Предмет: Химия,
автор: lyalyallyaya18
Предмет: Физика,
автор: Pppppppppppadost
Предмет: Математика,
автор: мася055