Предмет: Химия, автор: aidyn557

Для реакции H2 + I2 2HI константа скорости при температуре 683 К равна 0,0659 л/(моль. мин), а при температуре 716 К - 0,375 л/(моль. мин). Найдите энергию активации этой реакции и константу скорости при температуре 700 К

Ответы

Автор ответа: ivanspraguepaar7t
8

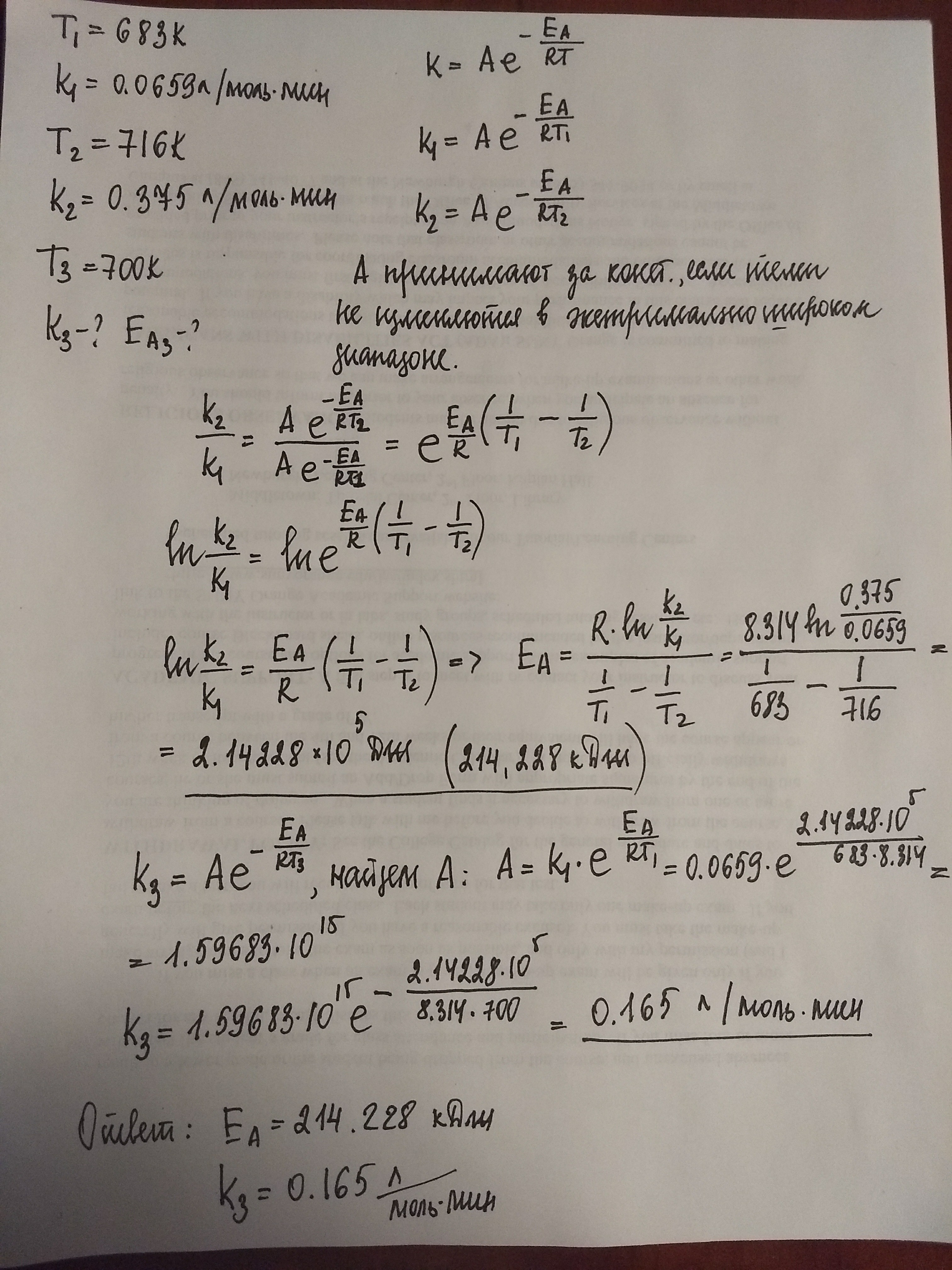
Ловите решение. Расчеты ведём по уравнению Аррениуса.
Удачи вам!

Приложения:
Автор ответа: Аноним
1

уравнение Аррениуса:

 k = A \cdot e^{-\frac{E_a}{RT}}

Отсюда  k_1\cdot e^{\frac{E_a}{RT_1}} = A = k_2 \cdot e^{\frac{E_a}{RT_2}}

или:

 \frac{k_1}{k_2}= e^{\frac{E_a}{RT_2}-\frac{E_a}{RT_1}}

 ln(\frac{k_1}{k_2})=\frac{E_a}{R}\left( \frac{1}{T_2}-\frac{1}{T_1} \right)  E_a= \frac {RT_1T_2}{T_1-T_2} \cdot ln \left(\frac{k_1}{k_2} \right)

Если подставить значения, получается, что при температуре 700 К константа скорости равна 0,165


Аноним: а энергия активации = 214 * 10^3 КДж
Похожие вопросы
Предмет: Математика, автор: katrina71183