Предмет: Математика, автор: sashaandreeva1998

√x-1 - √х-4 >1
ПОМОГИТЕ НАЙТИ ЧИСЛО ЦЕЛЫХ РЕШЕНИЙ НЕРАВЕНСТВА



sashaandreeva1998: ПРОШУ ОБЪЯСНИТЬ РЕШЕНИЕ
Нау4пок: общий корень?
Нау4пок: корень из (x-1) - корень из (x-4)?
sashaandreeva1998: да, х-1 под корнем, х-4 под корнем

Ответы

Автор ответа: Нау4пок
3

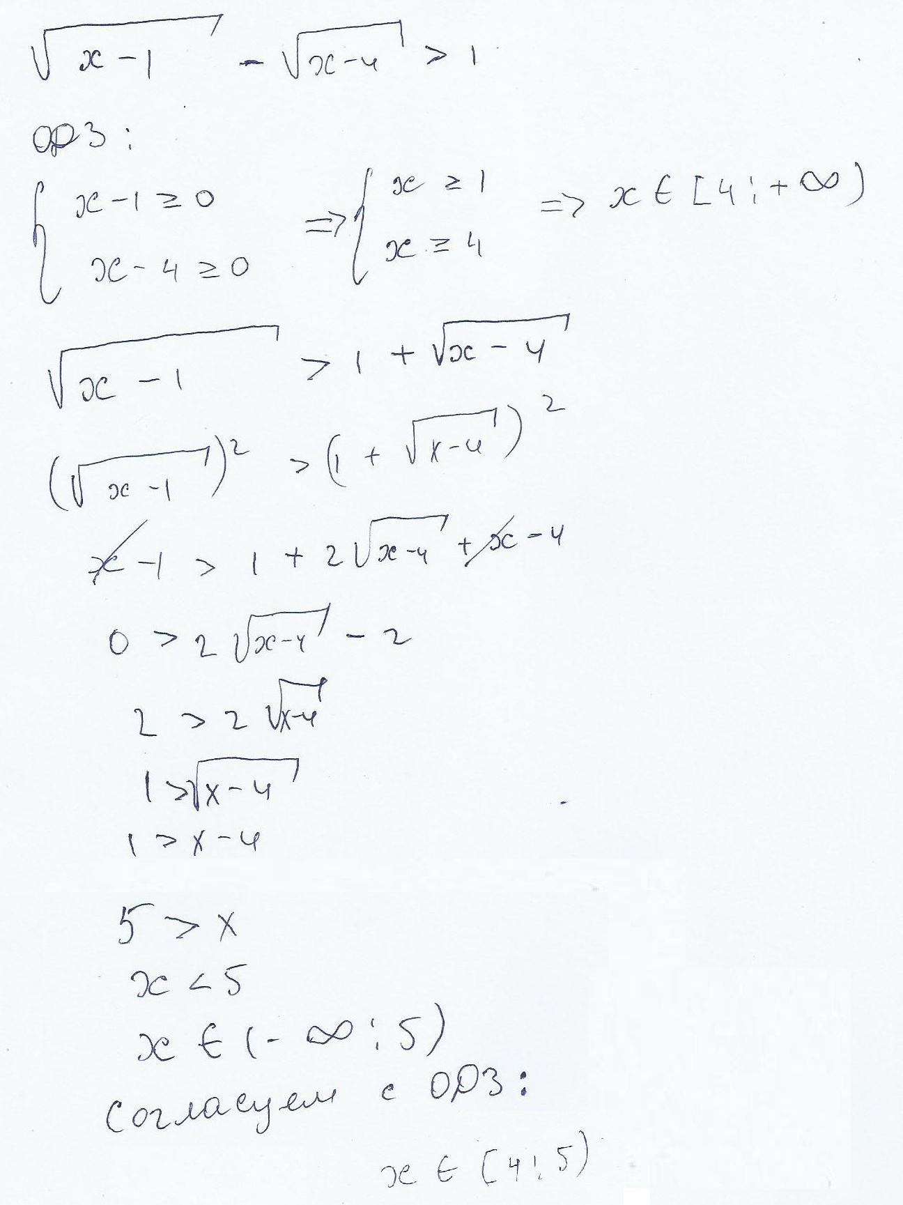
Решение во вложении. Конечный ответ: 1 целое число(4). На математическом языке:

n(x∈Z)=1

Приложения:

IrkaShevko: почему пустое множество?
Нау4пок: ой..
Нау4пок: точно, извините
Нау4пок: Исправил. Благодарю!
IrkaShevko: только сама заметила, надо найти число целых решений, поправьте
Нау4пок: отправьте, пожалуйста
Нау4пок: благодарю!
Автор ответа: IrkaShevko
3

ОДЗ: x ≥ 4

√(x-1) - √(x-4) > 1

x - 1 + x - 4 - 2√((x-4)(x-1)) > 1

2√(x² - 5x + 4) < 2x - 6

x² - 5x + 4 < x² - 6x + 9

x < 5

С учетом ОДЗ: x ∈ [4; 5)

только 4 - целое решение

Ответ: 1


IrkaShevko: возвели в квадрат левую часть, формула: (a-b)^2 = a^2 + b^2 - 2ab
sashaandreeva1998: а как упростили выражение в 3 действии?
sashaandreeva1998: у меня не получается как у вас :/
IrkaShevko: влево переносим все без корня, вправо все с корнем
IrkaShevko: получаем х + х - 1 - 4 - 1 > 2корня
IrkaShevko: 2х - 6 > 2 корня
IrkaShevko: делим на 2 обе части
IrkaShevko: х - 3 > корня
IrkaShevko: снова возводим в квадрат обе части
IrkaShevko: это можно сделать, т.к. с учетом одз х - 3 > 4 - 3 = 1
Похожие вопросы
Предмет: География, автор: losevanasta48
Предмет: Алгебра, автор: alexskirev
Предмет: Алгебра, автор: АртёмПлотников
Предмет: Математика, автор: kadukolga2804