Предмет: Математика,
автор: sveta21011
Не трудно!!! Пожалуйста!!! Заранее спасибо!!!
Приложения:
Ответы
Автор ответа:
0
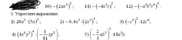
10) -4a²x⁴
11) -(-64x⁹c³) = 64x⁹c³
12) -(a⁸b¹²c¹⁶) = -a⁸b¹²c¹⁶
3.
1) 20a³ * 25a² = 500a⁵
2) -0,4x⁵ * 16x¹² = -6,4x¹⁷
3) c⁶*12c⁶ = 12c¹²
4) 81x²⁴y¹² * (-xy²/81) = -x²⁵y¹⁴
5) -8/27 *a³b¹⁵ * 18a⁵b = -16/3 a⁸b¹⁶
Похожие вопросы
Предмет: Алгебра,
автор: aminavtr2009
Предмет: Музыка,
автор: uburdina2021
Предмет: Математика,
автор: Hn94
Предмет: Математика,
автор: BuKToru