Предмет: Алгебра, автор: sonya7519

Помогите решить, если можете объясните подробно как вы делали

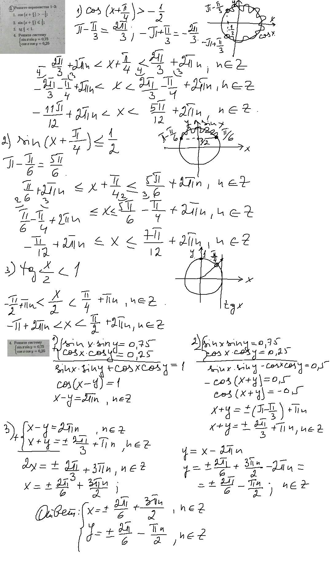
Приложения:

Ответы

Автор ответа: talk111
1

............................. ..................................... ..............................

Приложения:

sonya7519: Так, все понятно, спасибо. Кроме системы, как вы во втором действии получили плюс минус 2п/3 и тд. И почему прибавили пn, если там косинус, а у косинуса период 2пn
sonya7519: Я вобще не знаю как решать систему эту всю, объясните подробнее по действиям, пожалуйста
sonya7519: Очень хочу разобраться
talk111: да все верно 2Пn должно быть ошибка
talk111: еще сократить на 2 надо было
talk111: Рисуешь систему координат с окружностью, на оси ОХ отмечаешь точку -1/2 , проводишь прямую || OY , отмечаешь точки пересечения с окружностью . Так как знак неравенства > , отмечаешь волнистой чертой дугу, которая отмечает решение неравенства. Отмечаешь точки, считаешь значения углов и пишешь числовой промежуток для х.
talk111: если это решение удалят из-за ошибки, отправлю исправленный вариант
talk111: если не удалят можешь снова отправить вопрос? а то ошибка ...
sonya7519: Я снова его задам, только конкретно про систему, решите подробно пожалуйста, объясните как
Похожие вопросы
Предмет: Математика, автор: sandrareutskaya
Предмет: Математика, автор: Vika240106
Предмет: Математика, автор: alinA11316