Предмет: Алгебра, автор: dsaqweqe

Решите с объяснением,пожалуйста.

Приложения:

Ответы

Автор ответа: Аноним
0

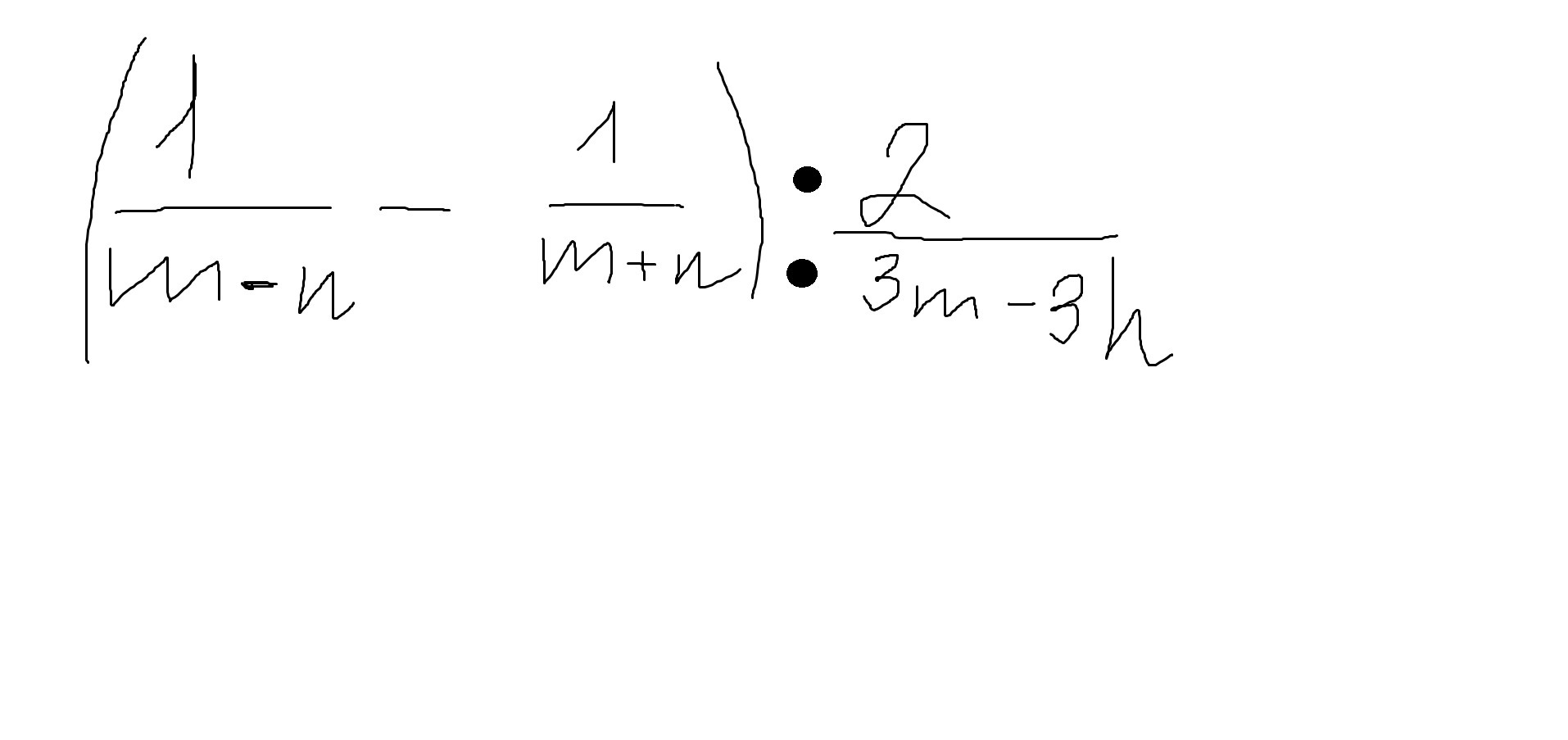
( \frac{1}{m -  n} -  \frac{1}{m + n} ) \div  \frac{2}{3m - 3n}  \\  \\ \frac{m + n - m + n}{(m + n)(m - n)}  \div  \frac{2}{3m - 3n}  \\  \\  \frac{2n \times 3(m - n)}{2(m + n)(m - n)} \\  \\  \frac{3n}{m +  n}
Автор ответа: snow99
0

( \frac{1}{m - n}  +  \frac{1}{m + n} ) \div  \frac{2}{3m - 3n}  = ( \frac{m + n}{(m - n)(m + n)}  +  \frac{m - n}{(m - n)(m + n)} ) \div  \frac{2}{3(m - n)} =  \frac{m + n + m - n}{(m - n)(m + n)}   \times  \frac{3(m - n)}{2}  =  \frac{2m}{m + n}  \times  \frac{3}{2}  =  \frac{3m}{m + n}
Похожие вопросы
Предмет: Математика, автор: anuarbekarajka0