Предмет: Математика,
автор: Аноним
Упростить выражения. Напишите, пожалуйста подробное решение, а то у меня ошибка и я не могу найти ее
Приложения:
Ответы
Автор ответа:
0
1.50
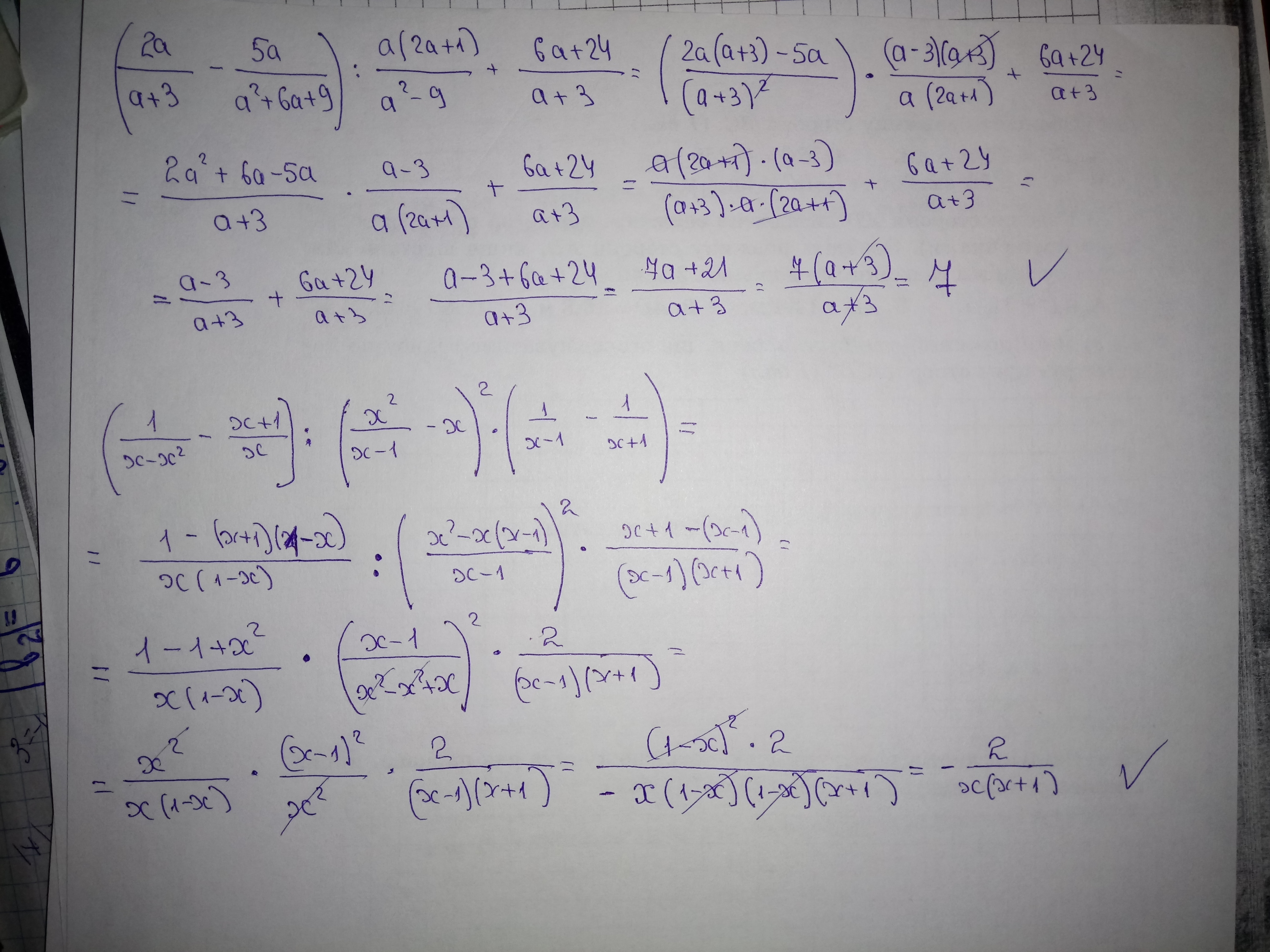
(2а(а+3)-5а / (а+3)^2) * (a-3)(a+3) / 2a^2+a + 6a+24 / a+3 = 2a^2+a / (a+3)^2 * (a-3)(a+3) / 2a^2+a + 6a+24 / a+3 = a-3 / a+3 + 6a+24 / a+3 = a-3+6a+24 / a+3 =
7a+21 / a+3 = 7(a+3) / a+3 = 7(a+3)
1.40
(1 / x(1-x) - x+1 / x ) : (x^2 - x(x-1) / x-1)^2 * ( x+1-(x-1) / (x-1)(x+1) ) = ( 1-(x+1)(1-x) / x(1-x) ) : (x^2-x^2+x / x-1)^2 * (x+1-x+1 / (x+1)(x-1) ) = ( 1-(1-x^2) / x(1-x) ) : ( x / x-1 )^2 * ( 2 / (x-1)(x+1) ) = (x^2 / x(1-x) ) : ( x^2 / (x-1)^2 ) * ( 2 / (x-1)(x+1) ) = - ( x^2 / x(x-1) ) * ( (x-1)^2 / x^2 ) * ( 2 / (x-1)(x+1) ) = - ( x-1 / x ) * (2 / ( (x-1)(x+1) ) = - 2 / x(x+1) = - 2/ x^2+x
математик2011:
Упс... Ну, конеечно же. Вы правы!!!
Автор ответа:
0
Решение задания приложено
Приложения:
Похожие вопросы
Предмет: Математика,
автор: gashechka00
Предмет: Українська література,
автор: cfsE
Предмет: Математика,
автор: Аноним
Предмет: История,
автор: linamalina2001
Предмет: Алгебра,
автор: хыыховец