Предмет: Алгебра, автор: guc002

Методы интервалов. Помогите пожалуйста.

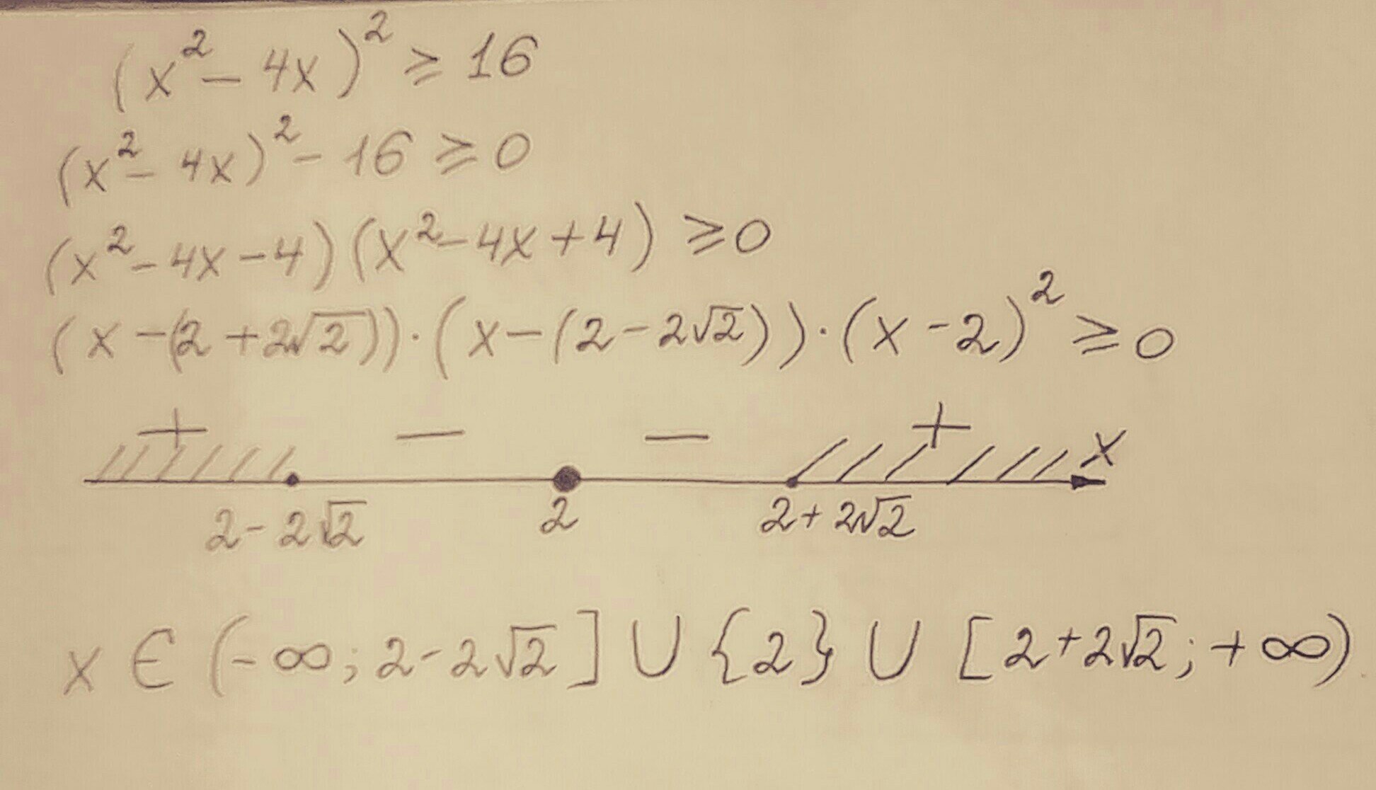
(x^2-4x)^2 >= 16

Ответы

Автор ответа: hello93
0

( {x}^{2}  - 4x) ^{2}  \geqslant 16 \\  | {x}^{2} - 4x |  \geqslant 4 \\ 1) {x}^{2}  - 4x \geqslant 0; \: x(x - 4) \geqslant 0;x\in(  - \infty;0]\cup \:[  4; + \infty) \\  {x}^{2}  - 4x \geqslant 4 \\  {x}^{2}  -  4x - 4 \geqslant 0 \\  {x}^{2}  - 4x - 4 = 0 \\  \frac{d}{4}  = 4 + 4 = 8 \\ x =  2± \sqrt{8}  \\  +  +  + (2 -  \sqrt{8} ) -  -  - (2 +  \sqrt{8} ) +  +  +  \\x \in( -  \infty ;2 -  \sqrt{8} ]\cup[  2 +  \sqrt{8} ; + \infty) \\ 2) {x}^{2}  - 4x < 0;x\in(0;4) \\   - {x}^{2}   +  4x \geqslant 4 \\  {x}^{2}  - 4x + 4 = 0 \\ (x - 2) ^{2}  = 0 \\ x = 2
Ответ:
x\in\{2\} \cup(  - \infty;2 -  \sqrt{8} ]\cup[  2 +  \sqrt{8} ; +\infty]

Автор ответа: Mihail001192
1
____________________________

РАЗЛОЖЕНИЕ НА МНОЖИТЕЛИ:

Использовали формулу:

а² - b² = ( a - b )( a + b ) - разность квадратов

х² - 4х - 4 = 0

D = ( - 4 )² - 4 × 1 × ( - 4 ) = 16 + 16 = 32 = ( 4√2 )²

x = ( 4 ± 4√2 ) / 2 = 2 ± 2√2
_________________

ax² + bx + c = 0

a( x - x1 )( x - x2 ) = 0
_________________

( x - ( 2 + 2√2 ) )( x - ( 2 - 2√2 ) ) = 0
Приложения:

Нау4пок: Распишите 3-4 ую строчку поподробнее
Mihail001192: Расписал )
Нау4пок: Благодарю!
Похожие вопросы
Предмет: Право, автор: andrei1484375747373
Предмет: Математика, автор: sashasyachinova