Предмет: Физика,
автор: prudskihnastya
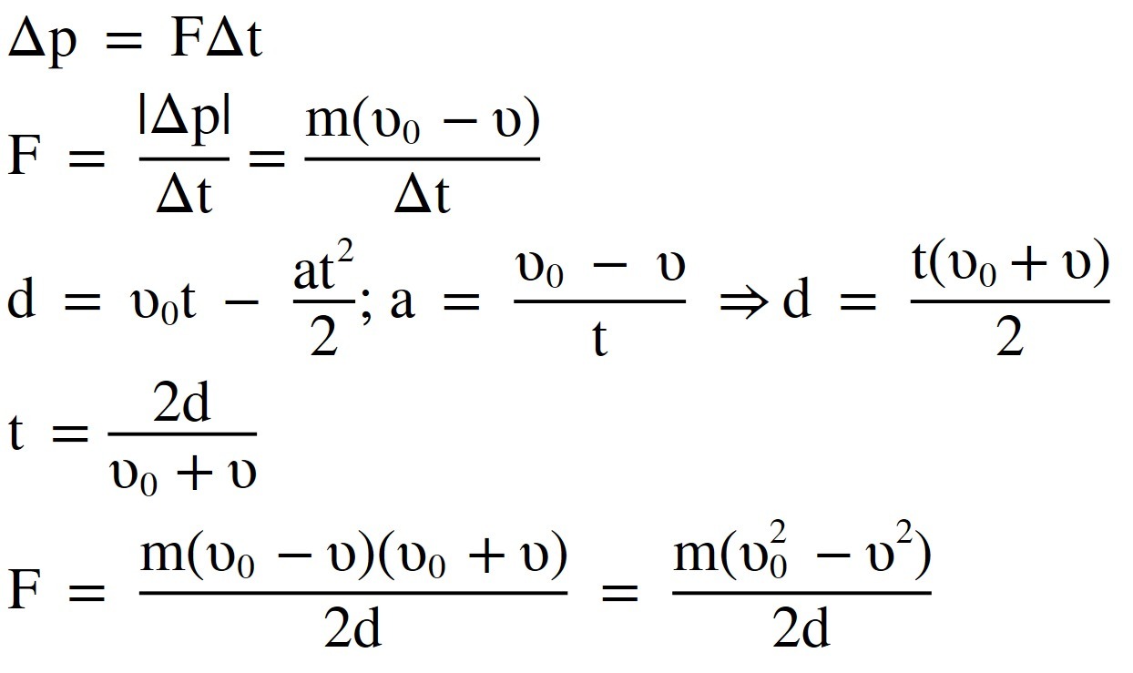
Пуля массы 10г, летящая со скоростью 550 м/c, пробивает доску толщиной 50 см и вылетает со скоростью 200 м/c. Определить среднюю силу сопротивления, которая действует на пулю.
Ответы
Автор ответа:
1
У меня вышло 2625 Н, отпишись потом насчет правильности
Приложения:
Похожие вопросы
Предмет: Математика,
автор: margaritavasukova
Предмет: Математика,
автор: laaasara
Предмет: История,
автор: sasarodnikova
Предмет: Математика,
автор: 9vika9
Предмет: Математика,
автор: морозка3