Предмет: Математика,
автор: VIPmaxwellVIP
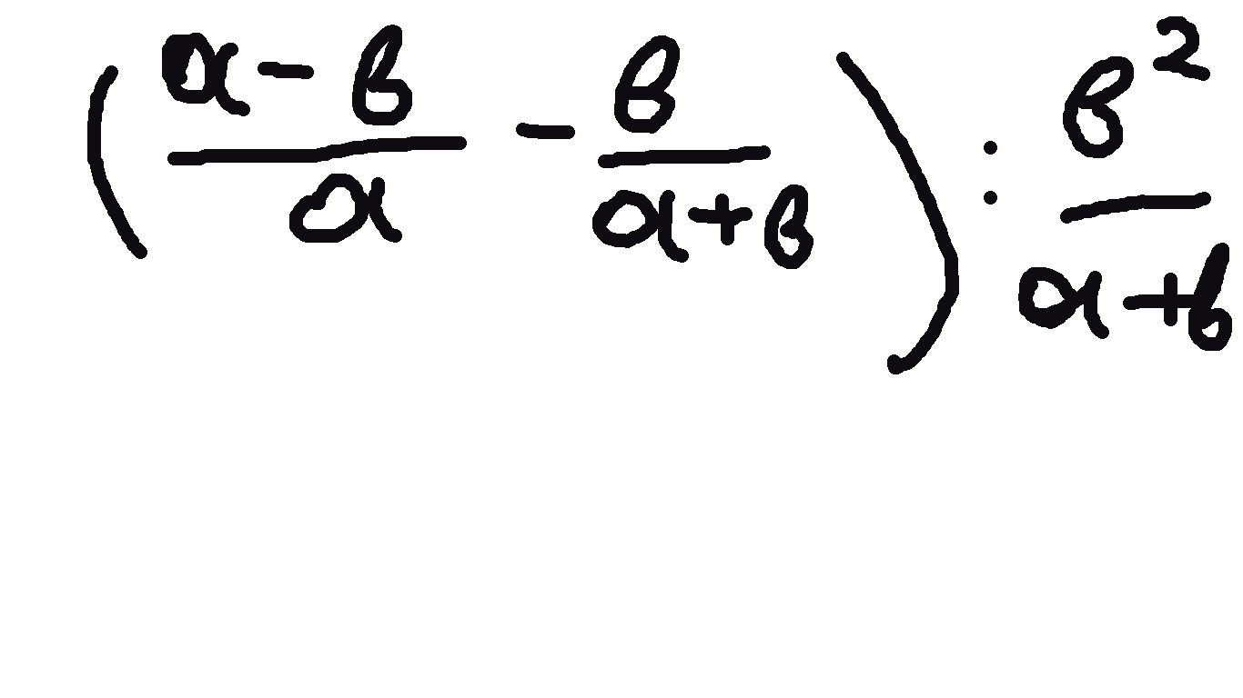
помогите .................................................
Приложения:
pavlikleon:
в чем состоит вопрос? УПРОСТИТЬ???
Ответы
Автор ответа:
1
Ответ на картинке внизу страницы
Приложения:
вроде неправильно
Я тоже засомневался в ответе, но ошибку не нашел
а нет ошибки, и данное в ответе выражение проще.. чем те к чему приведет деление ..
Похожие вопросы
Предмет: Русский язык,
автор: good5878
Предмет: Українська мова,
автор: musienkoalina
Предмет: Физика,
автор: darja10lapuska
Предмет: Литература,
автор: эля380
Предмет: Право,
автор: Pl78