Предмет: Алгебра,
автор: 1231221
Помогите пожалуйста!
Приложения:
Ответы
Автор ответа:
1
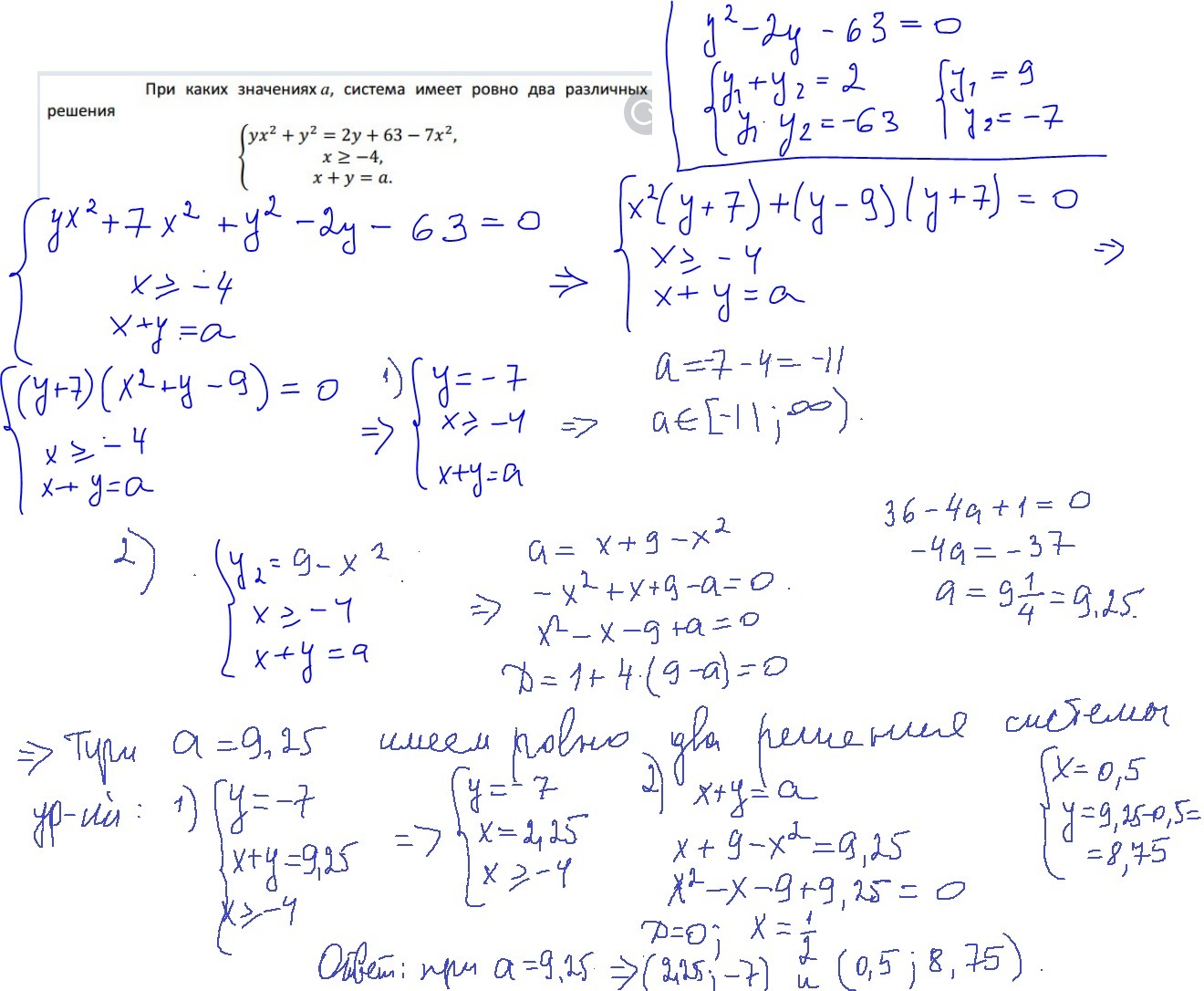
....................... ....................... ...........................
Приложения:
Похожие вопросы
Предмет: География,
автор: Luli2710
Предмет: Геометрия,
автор: vac53ka
Предмет: Литература,
автор: Okkkkkkeeeeee
Предмет: Математика,
автор: xboct2
Предмет: Биология,
автор: yliapo