Предмет: Алгебра,
автор: Кариночка172
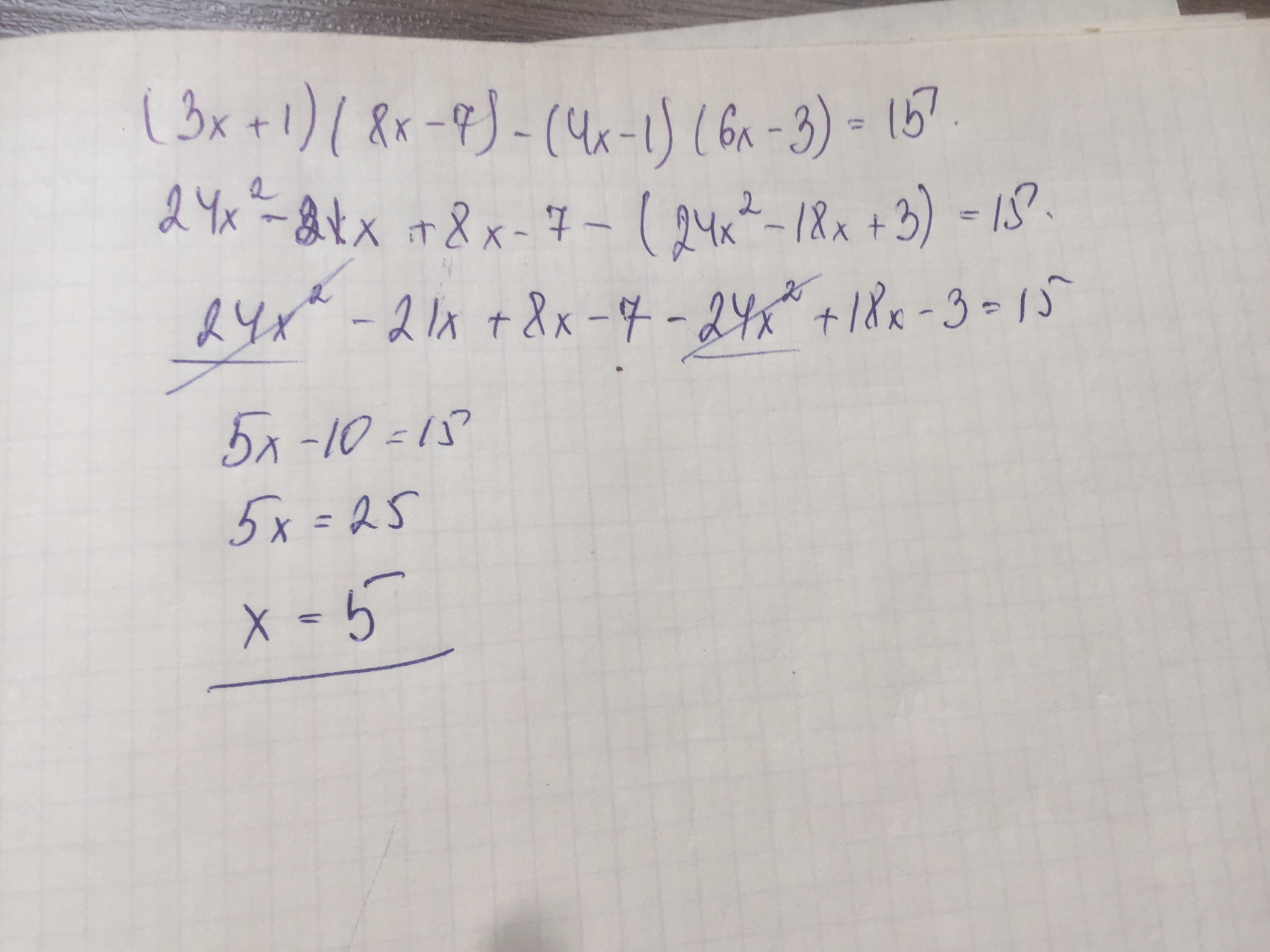
(3х+1)(8х-7)-(4х-1)(6х-3)=15 решить
Ответ должен быть х=5
Ответы
Автор ответа:
5
(3x+1)(8x-7)-(4x-1)(6x-3)=15
24x²+8x-21x-7-(24x²-6x-12x+3)=15
24x²-13x-7-24x²+18x-3=15
5x=15+10
5x=25 |÷5
x=5.
Ответ: x=5.
Аноним:
Отличная работа, sangers!
Cпасибо! Удачи!
Вам того же!
Автор ответа:
3
!!!!!!!!!!!!!!!!!!!!!!!!!!!!!!!!!!!!!!!!!
Приложения:
Похожие вопросы
Предмет: Английский язык,
автор: akary7378449
Предмет: Геометрия,
автор: vladrayak01
Предмет: Химия,
автор: Аноним
Предмет: Химия,
автор: anastasiya5037