Предмет: Алгебра,
автор: Nikita11092003
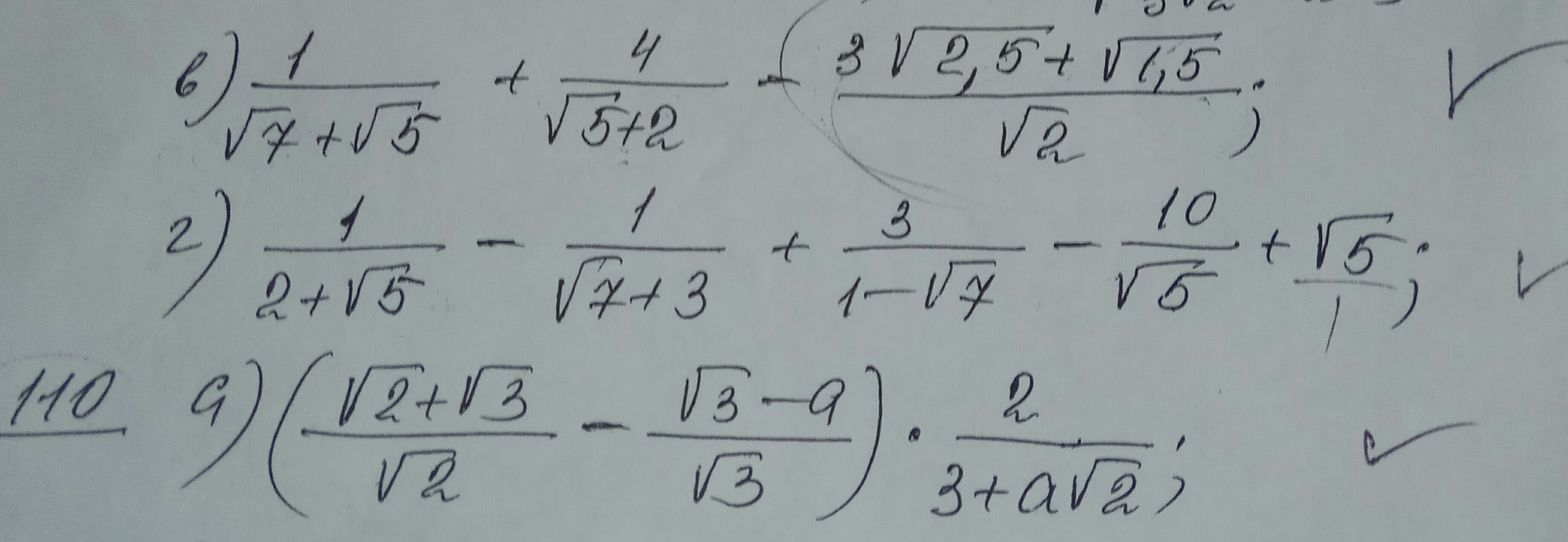
Выполните действие в 3 примерах
Приложения:
Ответы
Автор ответа:
0
в)1/(√7 + √5) + 4/(√5+2) +(3√2,5+√1,5)/√2=
(√7-√5)/(7-5) + 4(√5 - 2)(5-4) + (3√2,5*√2 + √1,5*√2)/2 =
(Умножим и поделим выражение на 2)
0.5(√7-√5+8√5-16+3√5+√3)=
= 0,5√7 - 5√5 + 0,5√3 -8
Автор ответа:
0
√7-√5)/(7-5) + 4(√5 - 2)(5-4) + (3√2,5*√2 + √1,5*√2)/2 =
(Умножим и поделим выражение на 2)
0.5(√7-√5+8√5-16+3√5+√3)=
= 0,5√7 - 5√5 + 0,5√3 -8
Похожие вопросы
Предмет: Геометрия,
автор: inakentiygavrilov12
Предмет: Математика,
автор: ItsRa1den
Предмет: Математика,
автор: Nadezhda0104
Предмет: Математика,
автор: Paulinaaaaaa