Предмет: Геометрия,
автор: Лерочок
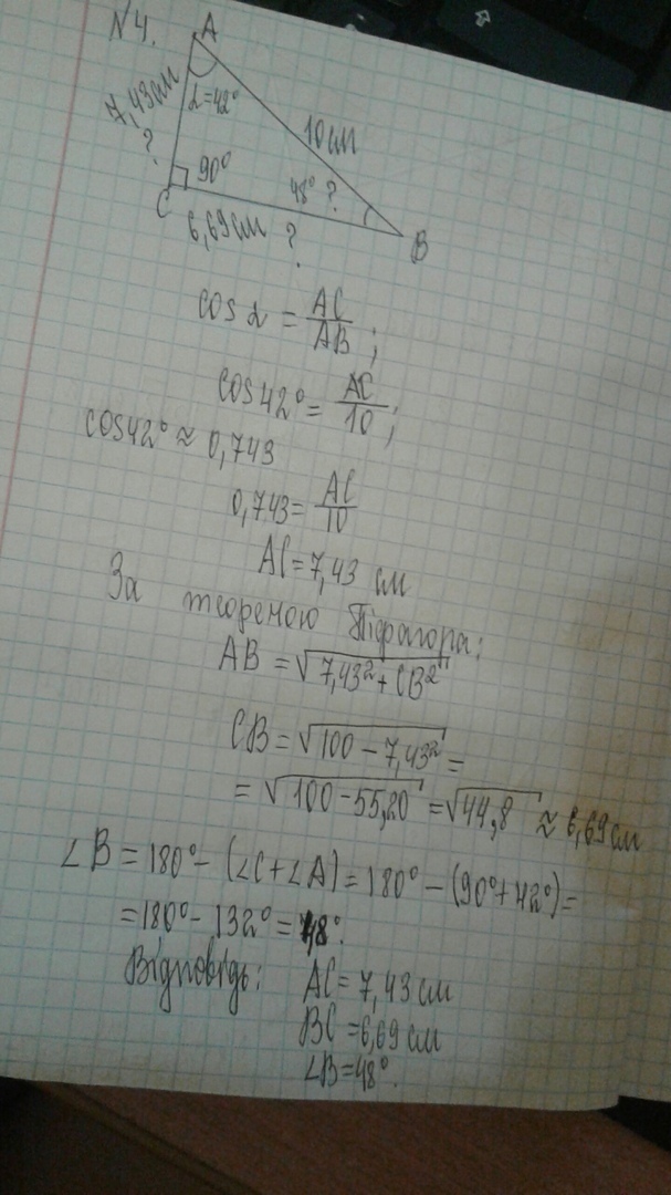
допоможіть з 3,4....
Приложения:
Ответы
Автор ответа:
1
Держи. Воть твой ответик.
Приложения:
Похожие вопросы
Предмет: Математика,
автор: sas1729
Предмет: Русский язык,
автор: Аноним
Предмет: История,
автор: Аноним
Предмет: Математика,
автор: наташа486
Предмет: Математика,
автор: ПтИцЫк