Предмет: Физика,
автор: mag120
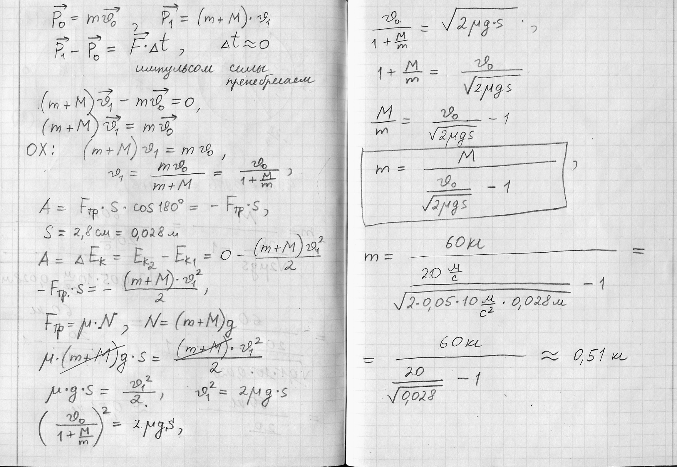
Стоящий на льду человек массой 60 кг ловить мяч который летит горизонтально со скоростью 20 м/с. Какова масса мяча если человек с мячом откатился на расстояние 2,8 см по горизонтальной поверхности льда.
Коэффициент трения 0,05. g= 10 м/с^2
Аноним:
если я кратко напишу решение, то разберешься?
Ещё сможешь сделать я отправлю
Ответы
Автор ответа:
0
я написал краткое решение на листочке, надеюсь разберешься что к чему
∨∨∨∨∨∨∨∨
Приложения:
Похожие вопросы
Предмет: Русский язык,
автор: femazez1256
Предмет: Русский язык,
автор: ismatnurtai
Предмет: Математика,
автор: ganster780
Предмет: Математика,
автор: 333denis333